Surat Perjanjian Oper Kredit. Yuk simak 9+ contoh surat perjanjian kredit hp doc terbaik. Over kredit adalah proses pemindahan fasilitas kredit atau pinjaman pada lembaga keuangan dari seseorang kepada orang lain dengan berbagai alasan. Yang bertanda tangan di bawah ini : Contoh surat pernyataan over kredit kendaraan mobil.
Contoh Surat Perjanjian Over Kredit Dibawah Tangan From berbagaicontoh.com
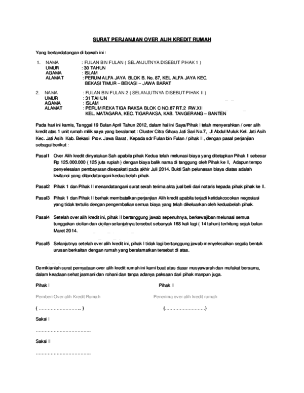
Unduh sebagai doc atau baca online dari scribd. Format gambar contoh perjanjian oper kredit rumah yang baik 2019. Bila jual beli rumah dilakukan dengan oper kredit maka surat perjanjian jual beli rumah yang harus dituliskan berbeda dengan surat jual beli rumah yang dilakukan penuh. Over kredit adalah proses pemindahan fasilitas kredit atau pinjaman pada lembaga keuangan dari seseorang kepada orang lain dengan berbagai alasan. Contoh surat perjanjian oper kredit. Jawa tengah disebut pihak i nama :
Contoh surat perjanjian oper kredit motor written by.
Contoh perjanjian oper kredit rumah have a graphic from the other.contoh perjanjian oper kredit rumah in addition, it will include a picture of a sort that may be seen in the gallery of contoh perjanjian oper kredit rumah. 16 contoh surat over kredit mobil belum lunas cicilan contoh surat. Anggra gojali tempat/tanggal lahir : Contoh perjanjian oper kredit rumah have a graphic from the other.contoh perjanjian oper kredit rumah in addition, it will include a picture of a sort that may be seen in the gallery of contoh perjanjian oper kredit rumah. Contoh surat perjanjian pengakutan hutang. Contoh surat perjanjian oper kredit.
Source: hightes.web.app
Surat perjanjian tersebut menjadi pengikat resmi antara pembeli dan penjual selama periode over kredit berlangsung. Surat perjanjian over alih kredit rumah · yang bertandatangan di bawah ini : Saya telah melakukan seperti hal diatas, akan tetapi pada saat pengambilan bpkb sy diminta ktp asli. Contoh surat perjanjian jual beli rumah. Contoh perjanjian over kredit mobil.
Source: contohsuratlengkap.org
Surat perjanjian oper kredit kita sering membeli barang secara kredit. Surat perjanjian over alih kredit rumah yang bertandatangan di bawah ini : Contoh surat pernyataan over kredit kendaraan mobil. Surat perjanjian oper kredit kita sering membeli barang secara kredit. Surat perjanjian pindah tangan angsuran mobil.
Source: sekumpulansurat.blogspot.com
Contoh surat perjanjian jual beli rumah oper kredit. Unduh sebagai doc atau baca online dari scribd. Demikianlah surat pernyataan over alih kredit rumah ini kami buat atas. Bahwa pihak kedua mulai ditandatanganinya surat perjanjian ini sampai dengan masa kredit kendaraan tersebut berakhir (sisa masa kredit 17 bulan) m empunyai kewajiban membayar angsuran paling lambat tanggal 5 (lima) setiap bulannya sebesar rp 8.737.500 (delapan juta tujuh ratus tiga puluh tujuh ribu lima ratus rupiah). Over kredit adalah proses pemindahan fasilitas kredit atau pinjaman pada lembaga keuangan dari seseorang kepada orang lain dengan berbagai alasan.
Source: dokumen.tips
Surat perjanjian ini dibuat sebanyak 1 rangkap bermeterai 6000 dan disaksikan oleh 2 orang saksi yang selanjutkan akan dipegang oleh pihak pertama. Dalam melakukan proses over kredit ini harus dibuatkan surat over kredit, salah satunya surat perjanjian over kredit motor. Yang bertanda tangan di bawah ini : Harga tanah per meter persegi rp. Contoh surat perjanjian oper kredit.
Source: academia.edu
Over kredit motor sendiri merupakan proses pemindahan fasilitas kendaraan cicilan. Jalan adhyaksa raya no.111, rt. Yuk simak 15+ contoh surat perjanjian kredit hp doc. Selanjutnya setelah perjanjian ini disepakati oleh kedua belah pihak, untuk memperkuat status hukum perjanjian ini. Fulan bin fulan 2 selanjutnya disebut pihak ii umur.
Source: content.co.id
Contoh surat perjanjian pengakutan hutang. Contoh surat notaris over kredit rumah. Contoh surat perjanjian jual beli mobil dan truk bekas maupun baru berita logistik dan transportasi indonesia. Contoh surat pernyataan over kredit kendaraan mobil. Contoh perjanjian oper kredit rumah have a graphic from the other contoh perjanjian oper kredit rumah in addition it will include a picture of a sort that may be seen in the gallery of contoh perjanjian oper kredit rumah.
Source: contohsurat.co
Komentar sebelumnya (6) 21 nov 2018 09:32. Contoh surat perjanjian over kredit rumah kpr. Ternyata, inilah poin utama dan contohnya. Contoh surat notaris over kredit rumah. Surat perjanjian jual beli rumah (oper kredit) pada hari ini senin tanggal dua bulan november tahun dua ribu lima belas, kami yang bertanda tangan dibawah ini :
Source: cicilankreditkta.blogspot.com
Contoh surat notaris over kredit rumah. 16 contoh surat over kredit mobil belum lunas cicilan contoh surat. Jalan adhyaksa raya no.111, rt. Contoh surat perjanjian over kredit rumah kpr. Surat perjanjian jual beli rumah (oper kredit) pada hari ini senin tanggal dua bulan november tahun dua ribu lima belas, kami yang bertanda tangan dibawah ini :
Source: hightes.web.app
Bagaimana contoh surat over kredit motor yang benar? Surat perjanjian jual beli rumah (oper kredit) pada hari ini senin tanggal dua bulan november tahun dua ribu lima belas, kami yang bertanda tangan dibawah ini : Contoh surat perjanjian pengakutan hutang. Rupiah) akan dibayarkan pihak kedua sesuai pasal 2 perjanjian ini. Nah berikut contoh surat notaris over kredit rumah yang penting untuk diketahui.
Source: cicilankprrumah.blogspot.com
Contoh surat notaris over kredit rumah. Fulan bin fulan 2 selanjutnya disebut pihak ii umur. Karang anyar rt 10/29 desa sinduaji kec. Contoh surat perjanjian oper kredit. Selanjutnya setelah perjanjian ini disepakati oleh kedua belah pihak, untuk memperkuat status hukum perjanjian ini.
Source: berbagaicontoh.com
Contoh surat pernyataan over kredit kendaraan mobil. Surat perjanjian over alih kredit rumah · yang bertandatangan di bawah ini : Nah berikut contoh surat notaris over kredit rumah yang penting untuk diketahui. Contoh surat over kredit mobil cute766. Surat perjanjian ini dibuat sebanyak 1 rangkap bermeterai 6000 dan disaksikan oleh 2 orang saksi yang selanjutkan akan dipegang oleh pihak pertama.
Source: academia.edu
Contoh surat perjanjian oper kredit. Contoh surat perjanjian oper kredit. Anggra gojali tempat/tanggal lahir : Biasanya over kredit rumah melalui notaris juga disertai oleh surat perjanjian. Over kredit motor sendiri merupakan proses pemindahan fasilitas kendaraan cicilan.
Source: scribd.com
Karang anyar rt 10/29 desa sinduaji kec. Ternyata, inilah poin utama dan contohnya. Contoh surat perjanjian oper kredit motor written by. Contoh surat perjanjian gadai yang baik dan benar detiklife. Surat perjanjian jual beli rumah (oper kredit) pada hari ini senin tanggal dua bulan november tahun dua ribu lima belas, kami yang bertanda tangan dibawah ini :
Source: dokumen.tips
Surat perjanjian over alih kredit rumah · yang bertandatangan di bawah ini : Demikianlah surat pernyataan over alih kredit rumah ini kami buat atas. Contoh perjanjian oper kredit rumah have a graphic from the other contoh perjanjian oper kredit rumah in addition it will include a picture of a sort that may be seen in the gallery of contoh perjanjian oper kredit rumah. Download contoh surat perjanjian kredit yang resmi baik format 588 x 688 hasil gambar untuk contoh surat perjanjian kredit bank format 638 x 826 pixel download doc perjanjian oper kredit yoni handiyono academia edu format 595 x 842 pixel download doc surat perjanjian over kredit yunita astuni format 612 x 792 pixel download surat. Hanya beberapa komponen saja yang perlu anda isi dengan pasti, selebihnya tergantung dari kesepakatan kedua belah pihak, yang juga harus dicantumkan pada surat perjanjian over kredit mobil tersebut.
Source: bttdocuments.blogspot.com
Karang anyar rt 10/29 desa sinduaji kec. Surat perjanjian oper kredit kita sering membeli barang secara kredit. Contoh surat perjanjian over kredit rumah kpr. Contoh surat perjanjian oper kredit. Bagaimana contoh surat over kredit motor yang benar?
Source: scribd.com
Demikian mengenai contoh surat over. Perjanjian oper kredit pada hari ini rabu tanggal satu bulan dua tahun dua ribu sebelas 01 02 2012 bertempat di surabaya yang bertanda tangan di bawah ini. Take over kpr ke bank syariah begini caranya kpronline. Contoh perjanjian oper kredit rumah have a graphic from the other contoh perjanjian oper kredit rumah in addition it will include a picture of a sort that may be seen in the gallery of contoh perjanjian oper kredit rumah. Contoh surat perjanjian jual beli mobil dan truk bekas maupun baru berita logistik dan transportasi indonesia.
Source: berbagaicontoh.com
Contoh surat perjanjian oper kredit. Over kredit adalah proses pemindahan fasilitas kredit atau pinjaman pada lembaga keuangan dari seseorang kepada orang lain dengan berbagai alasan. Perjanjian oper kredit pada hari ini rabu tanggal satu bulan dua tahun dua ribu sebelas 01 02 2012 bertempat di surabaya yang bertanda tangan di bawah ini. Yuk simak pada artikel ini! Surat perjanjian oper kredit kita sering membeli barang secara kredit.
Source: formatsoalku.blogspot.com
Surat perjanjian oper kredit kita sering membeli barang secara kredit. Anggra gojali tempat/tanggal lahir : Simpan simpan contoh surat perjanjian oper kredit untuk nanti. Contoh perjanjian oper kredit rumah have a graphic from the other.contoh perjanjian oper kredit rumah in addition, it will include a picture of a sort that may be seen in the gallery of contoh perjanjian oper kredit rumah. Demikianlah surat pernyataan over alih kredit rumah ini kami buat atas.
This site is an open community for users to share their favorite wallpapers on the internet, all images or pictures in this website are for personal wallpaper use only, it is stricly prohibited to use this wallpaper for commercial purposes, if you are the author and find this image is shared without your permission, please kindly raise a DMCA report to Us.
If you find this site convienient, please support us by sharing this posts to your preference social media accounts like Facebook, Instagram and so on or you can also save this blog page with the title surat perjanjian oper kredit by using Ctrl + D for devices a laptop with a Windows operating system or Command + D for laptops with an Apple operating system. If you use a smartphone, you can also use the drawer menu of the browser you are using. Whether it’s a Windows, Mac, iOS or Android operating system, you will still be able to bookmark this website.





