Soal Uts Agama Islam Kelas 9 Dan Jawabannya. Yang mempunyai persamaan dalam hal esensi intinya disebut sebagai.… a. Berikut merupakan kumpulan contoh soal usbn pkn smp kelas 9 dan kunci jawabnya. Dapatkan latihan soal uh ulhar pendidikan agama islam dan. Soal agama islam smp kelas 9 dan kunci jawabannasrani mayusi yahudi qurais kunci jawaban.
Soal Pendidikan Agama Islam Kelas 9 Tentang Qodho Dan From bangkusekolahsoal.blogspot.com
Contoh soal pendidikan agama islam (pai) kelas 10 lengkap dengan kunci jawabannya 2020. Berikut 20 contoh soal agama islam kelas 4 sd semester 1 dan jawabannya. Contoh soal dan jawabannya paibp kelas 9 smpmts bab 1. Soal uts agama islam kelas 8 semester 1 dan jawabannya. Berikut di bawah ini, soal pas pkn kelas 9 semester ganjil kurtilas edisi revisi dilengkapi kunci jawaban dengan pertanyaan dimulai dari nomor 1. Soal uas/pas pai kelas 9 semester 1 tahun 2021/2022.
Soal pendidikan agama islam pai kelas 7 dan kunci jawaban soal agama kelas 7 smpmts pg essay 2020 semester 1.
Dapatkan latihan soal uh ulhar pendidikan agama islam dan. Kewajiban seorang anak berbakti kepada kedua orang tua adalah perintah allah ta’ala yang harus ditunaikan oleh seorang anak. Contoh soal pendidikan agama islam (pai) kelas 10 lengkap dengan kunci jawabannya 2020. Nilai estetika dan nilai praktis dan regional. Soal uts agama islam kelas 8 semester 1 dan jawabannya. Tuhan memiliki sifat al karim, yang berarti bahwa allah ditinggikan a.
Source: perantiguru.com
Pada kesempatan ini kami akan berbagi soal dan kunci jawaban pas pendidikan agama islam dan budi pekerti smp kelas 9 kurikulum 2013 tahun pelajaran 20192020 serta dilengkapi. Nilai estetika dan nilai praktis dan regional. Surat al kafirun berisi perintah tenang… a. Soal agama islam smp kelas 9 dan kunci jawabannasrani mayusi yahudi qurais kunci jawaban. Soal agama bab kitab allah smp kelas 8 dengan jawaban 1.
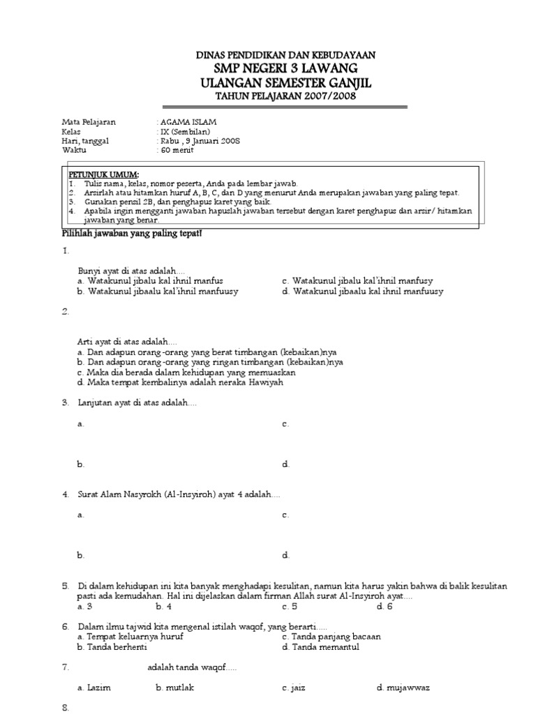
Source: python-belajar.github.io
Soal pai kelas 9 semester 1 beserta jawabannya. Soal diskriminan kelas 9 dan jawabannya.soal essay pkn kelas 9 dan jawabannya. Soal uas pendidikan agama islam kelas 11 sma/ma/smk dengan kunci jawaban i. Soal agama bab kitab allah smp kelas 8 dengan jawaban 1. Soal uts agama islam kelas 8 semester 1 dan jawabannya.
Source: edu-wall.com
Pembaca sekolahmuonline berikut ini kami posting untuk anda contoh soal dan jawabannya mata pelajaran pendidikan agama islam dan budi pekerti kelas 9 smpmts bab 3 tentang mengasah pribadi yang unggul dengan jujur santun dan malu. Soal uas/pas pai kelas 9 semester 1 tahun 2021/2022. Soal uas pai kelas 9 dan kunci jawaban. Tuhan memiliki sifat al karim, yang berarti bahwa allah ditinggikan a. Berbuat baik untuk sesama manusia b.
Source: menjawabsoalku.blogspot.com
Soal dan jawaban latihan uas dan pas untuk siswa kelas 9 smp / mts pelajaran pai semester genap dilansir dari sejumlah sumber: Untuk mengunduh file gunakan tombol download dibawah ini. Contoh soal pendidikan agama islam (pai) kelas 9 lengkap dengan kunci jawabannya file docx. 9 january 2022 soal agama islam. Tempatkan tanda silang (x) di depan huruf a, b atau c sebelum jawaban yang benar!
Source: apapunada.my.id
Soal uts agama islam kelas 9 dan jawabannya tahun 2018 oleh diposting pada maret 7, 2021. Soal uts agama islam kelas 9 dan jawabannya tahun 2018 oleh diposting pada maret 7, 2021. Postingan ujian tengah semester ganjil pendidikan agama islam pai dan budi pekerti kelas viii semester. Contoh soal sejarah kebudayaan islam beserta jawabannya. Pin on uts kelas 6.
Source: erwinedwar.com
Selain membagikan soal uas/pas mapel pai kelas 9. Contoh soal pendidikan agama islam (pai) kelas 9 lengkap dengan kunci jawabannya 2020. Pratinjau download soal pas kelas 9 semester 1 pai (pendidikan agama islam) dan kunci jawaban kurikulum 2013 adalah sebagai berikut: Berbuat baik untuk sesama manusia b. Selain guru siswa pun dapat memiliki file soal pas pai kelas 9 smp ini, tujuannya yaitu untuk bisa menjadi bahan latihan dan pembelajaran bagi siswa yang akan menghadapi pelaksanaan ulangan akhir semester.
Source: edu-wall.com
Soal pendidikan agama islam pai kelas 9 by guru arrasyid posted on september 11 2020 contoh soal pendidikan agama islam pai kelas 9 semester 1 dan semester 2 kurikulum 2013 untuk kisi kisi latihan. Contoh soal sejarah kebudayaan islam beserta jawabannya. Soal uts agama islam kelas 9 dan jawabannya tahun 2018 oleh diposting pada maret 7, 2021. Yang mempunyai persamaan dalam hal esensi intinya disebut sebagai.… a. Contoh soal pendidikan agama islam pai kelas 9 lengkap dengan kunci jawabannya 2020 a.
Source: duniasosial.id
Pembaca sekolahmuonline berikut ini kami posting untuk anda contoh soal dan jawabannya mata pelajaran pendidikan agama islam dan budi pekerti kelas 9 smpmts bab 3 tentang mengasah pribadi yang unggul dengan jujur santun dan malu. Dapatkan latihan soal uh ulhar pendidikan agama islam dan. Surat al kafirun berisi perintah tenang… a. Pembaca sekolahmuonline berikut ini kami posting untuk anda contoh soal dan jawabannya mata pelajaran pendidikan agama islam dan budi pekerti kelas 9 smpmts bab 3 tentang mengasah pribadi yang unggul dengan jujur santun dan malu. Soal ini sudah disusun sebanyak 50 yang dibahas oada semester genap.
Source: budayakanberislam.blogspot.com
Pin on uts kelas 6. Selain membagikan soal uas/pas mapel pai kelas 9. Kewajiban seorang anak berbakti kepada kedua orang tua adalah perintah allah ta’ala yang harus ditunaikan oleh seorang anak. Contoh soal essay pendidikan agama islam pai kelas xi semester 2 k13 beserta jawaban bagi sahabat dimana saja berada yang ingin sekali mempelajari soal latihan adik adik bisa belajar materi ini di sini dalam bentuk latihan soal. Soal agama islam smp kelas 9 dan kunci jawabannasrani mayusi yahudi qurais kunci jawaban.
Source: contohsoalitu.blogspot.com
Soal pai kelas 9 semester 1 beserta jawabannya. Pada kesempatan ini kami akan berbagi soal dan kunci jawaban pas pendidikan agama islam dan budi pekerti smp kelas 9 kurikulum 2013 tahun pelajaran 20192020 serta dilengkapi. Selain guru siswa pun dapat memiliki file soal pas pai kelas 9 smp ini, tujuannya yaitu untuk bisa menjadi bahan latihan dan pembelajaran bagi siswa yang akan menghadapi pelaksanaan ulangan akhir semester. Pendidikan agama buddha dan budi pekerti pdf download gratis. Soal tema 1 kelas 2 semester 1 kurikulum 2013 revisi 2018 pemahaman membaca belajar ejaan sekolah dasar.
Source: ilmusosial.id
Yang mempunyai persamaan dalam hal esensi intinya disebut sebagai.… a. Berikut merupakan kumpulan contoh soal usbn pkn smp kelas 9 dan kunci jawabnya. Soal pendidikan agama islam (pai) kelas 12 dan kunci jawaban 2019. Soal uas pendidikan agama islam kelas 11 sma/ma/smk dengan kunci jawaban i. Ada 30 butir soal 25 pg 5 essay penilaian tengah semester genap.
Source: duniasosial.id
Homepage / soal / soal uts agama islam kelas 9 dan jawabannya tahun 2018. Contoh soal dan jawabannya paibp kelas 9 smpmts bab 1. Pembaca sekolahmuonline berikut ini kami posting untuk anda contoh soal dan jawabannya mata pelajaran pendidikan agama islam dan budi pekerti kelas 9 smpmts bab 3 tentang mengasah pribadi yang unggul dengan jujur santun dan malu. Soal pas pai kelas 10 kurikulum 2013. Contoh soal pendidikan agama islam (pai) kelas 9 lengkap dengan kunci jawabannya 2020.
Source: budayakanberislam.blogspot.com
Soal dan jawaban latihan uas dan pas untuk siswa kelas 9 smp / mts pelajaran pai semester genap dilansir dari sejumlah sumber: Homepage / soal / soal uts agama islam kelas 9 dan jawabannya tahun 2018. Iman kepada hari akhir soal dan jawabannya paibp kelas 9 smpmts bab 2. Soal uts pai kelas 6 sd semester 2 tahun 2021 dan kunci jawaban pts pendidikan agama islam tribunpontianak co id. Contoh soal pendidikan agama islam (pai) kelas 9 lengkap dengan kunci jawabannya 2020.
Source: opssekolahkita.com
Berbuat baik untuk sesama manusia b. Soal pendidikan agama islam (pai) kelas 12 dan kunci jawaban 2019. Untuk mengunduh file gunakan tombol download dibawah ini. Soal agama bab kitab allah smp kelas 8 dengan jawaban 1. Pendidikan agama buddha dan budi pekerti pdf download gratis.
Source: mikiransoal.blogspot.com
Pendidikan agama buddha dan budi pekerti pdf download gratis. Soal ini sudah disusun sebanyak 50 yang dibahas oada semester genap. Soal uts pai kelas 6 sd semester 2 tahun 2021 dan kunci jawaban pts pendidikan agama islam tribunpontianak co id. Contoh soal pendidikan agama islam pai kelas 9 lengkap dengan kunci jawabannya 2020 a. 9 january 2022 soal agama islam.
Source: bangkusekolahsoal.blogspot.com
Pratinjau download soal pas kelas 9 semester 1 pai (pendidikan agama islam) dan kunci jawaban kurikulum 2013 adalah sebagai berikut: Ada 30 butir soal 25 pg 5 essay penilaian tengah semester genap. Kunci jawaban soal ujian akhir semester pendidikan agama islam kelas 9 semester genap 2021. Tuhan memiliki sifat al karim, yang berarti bahwa allah ditinggikan a. Contoh soal pai sma pilihan ganda dan kunci jawabannya kelas x.
Source: webedukasi-sekolah.blogspot.com
Pratinjau download soal pas kelas 9 semester 1 pai (pendidikan agama islam) dan kunci jawaban kurikulum 2013 adalah sebagai berikut: Soal uas pendidikan agama islam kelas 11 sma/ma/smk dengan kunci jawaban i. Soal agama islam smp kelas 9 dan kunci jawabannasrani mayusi yahudi qurais kunci jawaban. Soal uts agama islam kelas 9 dan jawabannya tahun 2018 oleh diposting pada maret 7, 2021. Selain guru siswa pun dapat memiliki file soal pas pai kelas 9 smp ini, tujuannya yaitu untuk bisa menjadi bahan latihan dan pembelajaran bagi siswa yang akan menghadapi pelaksanaan ulangan akhir semester.
Source: simaseda.blogspot.com
Berikut di bawah ini, soal pas pkn kelas 9 semester ganjil kurtilas edisi revisi dilengkapi kunci jawaban dengan pertanyaan dimulai dari nomor 1. Pratinjau download soal pas kelas 9 semester 1 pai (pendidikan agama islam) dan kunci jawaban kurikulum 2013 adalah sebagai berikut: Berikut 20 contoh soal agama islam kelas 4 sd semester 1 dan jawabannya. Berbuat baik untuk sesama manusia b. Homepage / soal / soal uts agama islam kelas 9 dan jawabannya tahun 2018.
This site is an open community for users to submit their favorite wallpapers on the internet, all images or pictures in this website are for personal wallpaper use only, it is stricly prohibited to use this wallpaper for commercial purposes, if you are the author and find this image is shared without your permission, please kindly raise a DMCA report to Us.
If you find this site good, please support us by sharing this posts to your favorite social media accounts like Facebook, Instagram and so on or you can also bookmark this blog page with the title soal uts agama islam kelas 9 dan jawabannya by using Ctrl + D for devices a laptop with a Windows operating system or Command + D for laptops with an Apple operating system. If you use a smartphone, you can also use the drawer menu of the browser you are using. Whether it’s a Windows, Mac, iOS or Android operating system, you will still be able to bookmark this website.





