Soal Pas Kelas 11 Semester 1 Matematika. Download soal pas / uas matematika kelas 6 k13 semester 1 tahun 2019/2020 untuk bapak/ibu guru yang ingin menggunakan soal ini sebagai bahan referensi, berikut ini adalah file soal dalam format dokumen word agar soal bisa diedit dengan mudah ⇩ download soal pas / uas matematika kelas 6 k13 semester 1 tahun 2019/2020 (docx) Pos berikutnya download soal uas matematika kelas 1 sd semester 1 (ganjil) dan kunci jawaban. Berikut ini adalah contoh soal pas matematika wajib kelas 11 semester 1 2021/2022, selamat mengerjakan. Pada kelas 2 semester ganjil siswa mempelajari materi :
Bimbel IFE (IFE Little Newton) SOAL DAN PEMBAHASAN PAS From bimbelife.blogspot.com
Advertisements hampir semua orang mengetahui apa itu matematika termasuk. Materi soal pas matematika wajib kelas 11 semester 1 diambil sesuai buku siswa/ buku guru matematika kelas 11 sma/ma smk/mak semester 1 kurikulum 2013 edisi revisi 2017. Untuk kamu yang saat ini sedang mempersiapkan diri dalam menghadapi. Sudah tak terasa kita sudah masuk ke akhir semester ganjil. Berikut ini adalah contoh soal pas matematika wajib kelas 11 semester 1 2021/2022, selamat mengerjakan. Sehingga bisa menjadi sebuah ringkasan belajar ataupun rangkuman soal.
Contoh soal pas matematika peminatan kelas 11 semester 1 2021/2022.
Soal juga sudah dilengkapi kunci jawabannya yang dapat di unduh dengan mudah. Pada kesempatan kali ini ilmuguru.org mau membagikan data mengenai soal uas matematika wajib kelas xi semester 1 kurikulum 2013 beserta kunci jawaban. Di kurikulum 2013 istilah uas berganti menjadi pas (penilaian akhir semester). Soal juga sudah dilengkapi kunci jawabannya yang dapat di unduh dengan mudah. Latihan soal pas mtk wajib sma kelas 11 kurikulum 2013. Bagi yang membutuhkan naskah soal ujian pas/uas matematika wajib kelas 11 semester 1 silahkan download soalnya pada link di bawah ini.
Source: ainamulyana.id
Latihan soal pas matematika wajib kelas 11 sma/ma kurikulum 2013 ini dapat menjadi referensi belajar peserta didik dalam menghadapi penilaian akhir semester tahun pelajaran 2021/2022. Untuk kamu yang saat ini sedang mempersiapkan diri dalam menghadapi. Contoh soal pas matematika peminatan kelas 11 semester 1 2021/2022. Soal juga sudah dilengkapi kunci jawabannya yang dapat di unduh dengan mudah. Pada kelas 2 semester ganjil siswa mempelajari materi :
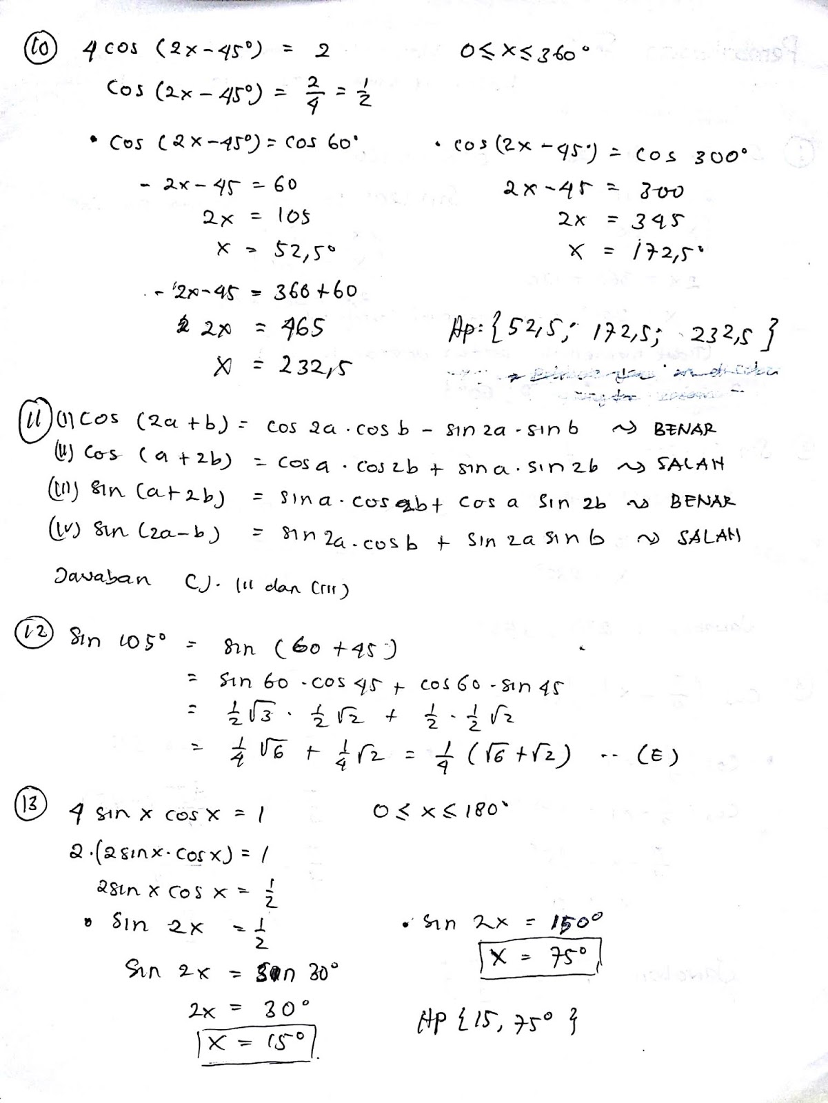
Source: riefawa.com
Sehingga bisa menjadi sebuah ringkasan belajar ataupun rangkuman soal. Pada kelas 2 semester ganjil siswa mempelajari materi : Di kurikulum 2013 istilah uas berganti menjadi pas penilaian akhir semester. Contoh soal matematika kelas 1 sd semester 1. Penilaian akhir semester (pas) semester ganjil sudah di depan mata.
Source: linkguru.net
Download soal pas / uas matematika kelas 6 k13 semester 1 tahun 2019/2020 untuk bapak/ibu guru yang ingin menggunakan soal ini sebagai bahan referensi, berikut ini adalah file soal dalam format dokumen word agar soal bisa diedit dengan mudah ⇩ download soal pas / uas matematika kelas 6 k13 semester 1 tahun 2019/2020 (docx) Pada kesempatan kali ini ilmuguru.org mau membagikan data mengenai soal uas matematika wajib kelas xi semester 1 kurikulum 2013 beserta kunci jawaban. Pada kelas 2 semester ganjil siswa mempelajari materi : Contoh soal pas matematika peminatan kelas 11 semester 1 2021/2022. Tiap satuan pendidikan wajib menyelenggarakan penilaian akhir semester sebagai salah satu bentuk evaluasi belajar.
Source: bimbelife.blogspot.com
Dimana soal pas matematika kelas 11 semester 1 memuat setidaknya 4 (empat) bab. Di kurikulum 2013 istilah uas berganti menjadi pas penilaian akhir semester. Contoh soal pas matematika kelas 11 sma tahun 2021 dan kunci jawaban. Pada kelas 2 semester ganjil siswa mempelajari materi : Soal dan jawaban matematika tentang matriks kelas 11 contoh file download soal uts untuk kelas 6 5 4 3 2 1 sd semester 1 berikut ini adalah kumpulan dari berbagi sumber tentang soal matriks kelas 11 dan jawaban yang bisa gunakan untuk administrasi google drive soal uts sd dan diunduh secara gratis dengan menekan tombol download biru dibawah ini.
Source: duniasosial.id
Contoh soal pas kelas 11 sma/ma ini berbentuk pilihan ganda dengan lima alternatif jawaban dan uraian. Untuk kamu yang saat ini sedang mempersiapkan diri dalam menghadapi. Latihan soal pas mtk wajib sma kelas 11 kurikulum 2013. Soal ini bisa dijadikan sebagai bahan referensi belajar dalam menghadapi ujian akhir semester 1. Kunci jawaban soal latihan ulangan pas/uas matematika kelas 11 semester 1 2020.
Source: materisoals.blogspot.com
Contoh soal uas pas kelas 11 sma ma semester 1 kurikulum 2013 tahun 2021 selengkapnya dapat di unduh pada tautan berikut ini. Pos berikutnya download soal uas matematika kelas 1 sd semester 1 (ganjil) dan kunci jawaban. Sudah tak terasa kita sudah masuk ke akhir semester ganjil. Materi matematika,,, sebagai pembelajaran yang dapat mendidik kekuatan berpikir dengan perkembangan otak sehingga pembelajaran juga menghitung, kami sekarang. Pembahasan berupa video pembelajaran daring/online mata pelajaran matematika sma/ma.
Source: scribd.com
Pada kesempatan kali ini ilmuguru.org mau membagikan data mengenai soal uas matematika wajib kelas xi semester 1 kurikulum 2013 beserta kunci jawaban. Latihan soal pas mtk wajib sma kelas 11 kurikulum 2013. Advertisements hampir semua orang mengetahui apa itu matematika termasuk. Latihan soal pas matematika wajib kelas 11 kurikulum 2013 tahun 2020/2021 soal penilaian akhir semester ialah salah satu prosedur yang untuk mengetahui tingkatan pemahaman peserta didik terhadap materi pelajaran. Penilaian akhir semester (pas) semester ganjil sudah di depan mata.
Source: soalkunci.com
Download soal pas / uas matematika kelas 6 k13 semester 1 tahun 2019/2020 untuk bapak/ibu guru yang ingin menggunakan soal ini sebagai bahan referensi, berikut ini adalah file soal dalam format dokumen word agar soal bisa diedit dengan mudah ⇩ download soal pas / uas matematika kelas 6 k13 semester 1 tahun 2019/2020 (docx) Di kurikulum 2013 istilah uas berganti menjadi pas penilaian akhir semester. Soal juga sudah dilengkapi kunci jawabannya yang dapat di unduh dengan mudah. Pada kelas 2 semester ganjil siswa mempelajari materi : Soal pas matematika smk kelas 11 tahun 2021.
Source: bangsoal.adriyan.id
Latihan soal pas matematika wajib kelas 11 sma/ma kurikulum 2013 ini dapat menjadi referensi belajar peserta didik dalam menghadapi penilaian akhir semester tahun pelajaran 2021/2022. Pembahasan berupa video pembelajaran daring/online mata pelajaran matematika sma/ma. Penilaian akhir semester (pas) semester ganjil sudah di depan mata. Pos berikutnya download soal uas matematika kelas 1 sd semester 1 (ganjil) dan kunci jawaban. Untuk kamu yang saat ini sedang mempersiapkan diri dalam menghadapi.
Source: tvidsiswa.blogspot.com
#selengkapnya, silahkan mengunduh file pdf dan jawaban yang diletakkan di bawah. Penilaian akhir semester (pas) tahun pelajaran 2021/2022 sebentar lagi akan dilaksanakan. Download soal pas / uas matematika kelas 6 k13 semester 1 tahun 2019/2020 untuk bapak/ibu guru yang ingin menggunakan soal ini sebagai bahan referensi, berikut ini adalah file soal dalam format dokumen word agar soal bisa diedit dengan mudah ⇩ download soal pas / uas matematika kelas 6 k13 semester 1 tahun 2019/2020 (docx) Soal mtk kelas 6 semester 1 bab 1. Materi matematika,,, sebagai pembelajaran yang dapat mendidik kekuatan berpikir dengan perkembangan otak sehingga pembelajaran juga menghitung, kami sekarang.
Source: revisi.id
Soal juga sudah dilengkapi kunci jawabannya yang dapat di unduh dengan mudah. Berilah tanda silang (x) pada huruf a, b, c atau didepan jawaban yang paling. Pos berikutnya download soal uas matematika kelas 1 sd semester 1 (ganjil) dan kunci jawaban. 1 , 8 dan 11 25. Kunci jawaban soal latihan ulangan pas/uas matematika kelas 11 semester 1 2020.
Source: bimbelife.blogspot.com
Soal ini bisa dijadikan sebagai bahan referensi belajar dalam menghadapi ujian akhir semester 1. Download soal pas / uas matematika kelas 6 k13 semester 1 tahun 2019/2020 untuk bapak/ibu guru yang ingin menggunakan soal ini sebagai bahan referensi, berikut ini adalah file soal dalam format dokumen word agar soal bisa diedit dengan mudah ⇩ download soal pas / uas matematika kelas 6 k13 semester 1 tahun 2019/2020 (docx) Penilaian akhir semester (pas) semester ganjil sudah di depan mata. Penilaian akhir semester (pas) tahun pelajaran 2021/2022 sebentar lagi akan dilaksanakan. Bagi yang membutuhkan naskah soal ujian pas/uas matematika wajib kelas 11 semester 1 silahkan download soalnya pada link di bawah ini.
Source: ainamulyana.id
Berilah tanda silang (x) pada huruf a, b, c atau didepan jawaban yang paling. Pembahasan berupa video pembelajaran daring/online mata pelajaran matematika sma/ma. Pos berikutnya download soal uas matematika kelas 1 sd semester 1 (ganjil) dan kunci jawaban. Contoh soal pas matematika kelas 11 sma tahun 2021 dan kunci jawaban. 1 , 8 dan 11 25.
Source: scribd.com
Di kurikulum 2013 istilah uas berganti menjadi pas penilaian akhir semester. 1 , 8 dan 11 25. Pembahasan berupa video pembelajaran daring/online mata pelajaran matematika sma/ma. Penilaian akhir semester (pas) semester ganjil sudah di depan mata. Latihan soal pas matematika wajib kelas 11 sma/ma kurikulum 2013 ini dapat menjadi referensi belajar peserta didik dalam menghadapi penilaian akhir semester tahun pelajaran 2021/2022.
Source: unews.id
Jumlah 200 bilangan asli pertama adalah. Latihan soal penilaian akhir semester matematika wajib kelas 11 sma ma yang dibagikan ini berisi materi pelajaran kelas 10 sma/ma semeser 1 kurikulum 2013. Advertisements hampir semua orang mengetahui apa itu matematika termasuk. Contoh soal pas matematika kelas 11 sma tahun 2021 dan kunci jawaban. Pos berikutnya download soal uas matematika kelas 1 sd semester 1 (ganjil) dan kunci jawaban.
Source: riefawa.blogspot.com
Soal ini bisa dijadikan sebagai bahan referensi belajar dalam menghadapi ujian akhir semester 1. Jumlah 200 bilangan asli pertama adalah. Contoh soal pas matematika kelas 11 sma tahun 2021 dan kunci jawaban. Download soal pas / uas matematika kelas 6 k13 semester 1 tahun 2019/2020 untuk bapak/ibu guru yang ingin menggunakan soal ini sebagai bahan referensi, berikut ini adalah file soal dalam format dokumen word agar soal bisa diedit dengan mudah ⇩ download soal pas / uas matematika kelas 6 k13 semester 1 tahun 2019/2020 (docx) Dimana soal pas matematika kelas 11 semester 1 memuat setidaknya 4 (empat) bab.
Source: contoh-soal-hd.blogspot.com
Sahabat pendidikan, berbicara mengenai ulangan semester ataupun ujian sekolah maka tidak lepas dari yang namanya soal ulangan/ujian, dan pada kesempatan kali ini saya akan membagikan contoh soal ulangan semester khusus. Soal juga sudah dilengkapi kunci jawabannya yang dapat di unduh dengan mudah. Berikut ini adalah contoh soal pas matematika wajib kelas 11 semester 1 2021/2022, selamat mengerjakan. Penilaian akhir semester (pas) tahun pelajaran 2021/2022 sebentar lagi akan dilaksanakan. Latihan soal pas mtk wajib sma kelas 11 kurikulum 2013.
Source: wahanainfo22.blogspot.com
Materi matematika,,, sebagai pembelajaran yang dapat mendidik kekuatan berpikir dengan perkembangan otak sehingga pembelajaran juga menghitung, kami sekarang. #selengkapnya, silahkan mengunduh file pdf dan jawaban yang diletakkan di bawah. Materi matematika,,, sebagai pembelajaran yang dapat mendidik kekuatan berpikir dengan perkembangan otak sehingga pembelajaran juga menghitung, kami sekarang. Sudah tak terasa kita sudah masuk ke akhir semester ganjil. Penilaian akhir semester (pas) tahun pelajaran 2021/2022 sebentar lagi akan dilaksanakan.
This site is an open community for users to share their favorite wallpapers on the internet, all images or pictures in this website are for personal wallpaper use only, it is stricly prohibited to use this wallpaper for commercial purposes, if you are the author and find this image is shared without your permission, please kindly raise a DMCA report to Us.
If you find this site convienient, please support us by sharing this posts to your preference social media accounts like Facebook, Instagram and so on or you can also bookmark this blog page with the title soal pas kelas 11 semester 1 matematika by using Ctrl + D for devices a laptop with a Windows operating system or Command + D for laptops with an Apple operating system. If you use a smartphone, you can also use the drawer menu of the browser you are using. Whether it’s a Windows, Mac, iOS or Android operating system, you will still be able to bookmark this website.





