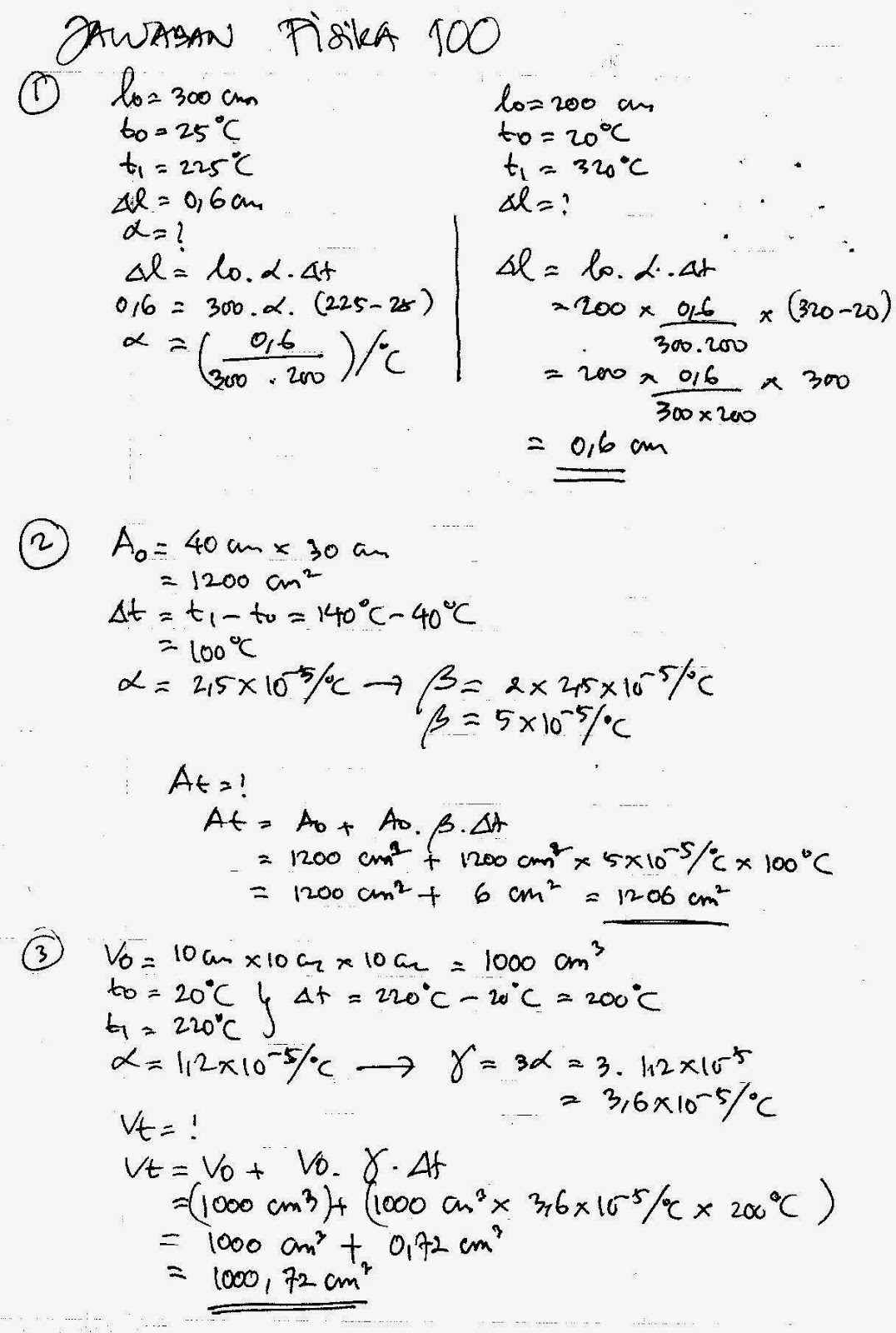
Soal Fisika Pemuaian Kelas 7. T 1 suhu awal k p 2 tekanan gas akhir n m 2 v 2 volume gas akhir m 3 t 2 suhu akhir k demikian penjelasan yang. Pemuaian ini terjadi pada zat padat zat cair dan zat gas. (3) dapat membuat saklar lampu otomatis. (3) dapat membuat saklar lampu otomatis.
Soal Fisika Kelas 7 Semester 1 Tentang Pengukuran Beserta From menjawabsoalmu.blogspot.com
Ilustrasi panci mengalami pemuaian akibat dipanaskan. Cari terlebih dahulu perubahan suhu parafin yakni. Fisika besarandansatuan kelas10 fisikasma fisikaasyik besarandanpengukuran pembahasan soal besaran dan satuan fisika ini relevan terhadap materi fisika sma kelas 10 dan ipa smp kelas 7. Soal ipa kelas 7 pemuaian. (3) dapat membuat saklar lampu otomatis. Fokus pelajaran fisika kelas 7 yaitu pemuaian luas atau dikenal juga dengan istilah muai luas.
(3) dapat membuat saklar lampu otomatis.
Pemuaian panjang dan lebar benda merupakan pemuaian. Soal ipa kelas 7 smp bab unsur, senyawa dan campuran dan kunci jawaban. Advertisements jika dilihat secara teliti, sebenarnya materi pemuaian tak sepenuhnya datang. (2) dapat membantu membuka tutup botol dari gabus yang sukar dibuka. Soal matematika 3 (semester 2) produk spesial. Soal un 1999 2000 no 10.
Source: scribd.com
Soal ipa kelas 7 smp bab asam, basa, garam dan kunci jawaban. Dimana semakin tinggi jenjang pendidikannya makin tinggi pula tingkat pemahamannya. Mengapa pemuaian pada zat cair lebih besar daripada pemuaian pada zat padat? Δa adalah pertambahan luas β adalah lambang koefisien muai luas β = 2α δt adalah perubahan. Pertambahan volume suatu zat yang dipanaskan, secara fisis akan:
Source: slideshare.net
Kalor dalam perubahan wujud zat. Button juara dunia 2009 ; Pemuaian ini terjadi pada zat padat zat cair dan zat gas. Karena jarak partikel molekul zat cair lebih renggang dari zat padat sehingga lebih mudah memisahkan diri. Berikut adalah contoh latihan soal fisika untuk kelas 7 pada semester 1 dengan materi suhu dan pemuaian ada 15 soal pilihan ganda dengan pembahasannya ala saya hehehe dalam pembahasan soal ada tips tips untuk menguasai fisika pada materi suhu dan pemuaian.
Source: pdfjournal.blogspot.com
Soal dan kunci jawaban materi bilangan bulat berikut 7 soal materi bilangan bulat dilengkapi kunci jawabannya 1. Berilah tanda silang x pada huruf a b c atau d pada jawaban yang benar. Materinya sudah diajarkan mulai dari sekolah dasar hingga menengah atas. Langsung aja kita kerjakan contoh soal berikut! (3) dapat membuat saklar lampu otomatis.
Source: unduhfile-guru.blogspot.com
Contoh soal fisika smp kelas 7. Sebuah bola yang memiliki volume 50 m3 jika dipanaskan hingga mencapai temperatur 50oc. Latihan soal fisika smp kelas 7 pemuaian. Ipa fisika (gerak) kelas 1: Pemuaian panjang dan lebar benda merupakan pemuaian luas.
Source: sobatguru.com
Soal dan jawaban hukum newton tentang gravitasi. Pemuaian ini terjadi pada zat padat zat cair dan zat gas. Cari terlebih dahulu perubahan suhu parafin yakni. Fokus pelajaran fisika kelas 7 yaitu pemuaian luas atau dikenal juga dengan istilah muai luas. (4) dapat menjaga suhu setrika listrik pada nilai tertentu.
Source: soal-fisika-a.blogspot.com
Contoh pemuaian luas dapat kita jumpai pada pemuaian kaca jendela. Contoh soal fisika kelas 7 smpmts fisika ialah merupakan ilmu yang mengenai alam dan yang mempelajari suatu unsur unsur dasar pembentukan sebuah alam semesta gaya gaya yang bekerja di dalamnya dan akibat akibatnya yang mencakup yang sangat luas dari partikel sub. (2) dapat membantu membuka tutup botol dari gabus yang sukar dibuka. Materinya sudah diajarkan mulai dari sekolah dasar hingga menengah atas. Latihan soal ipa klasifikasi makhluk hidup kelas 7 smp k13 ;
Source: guruokemodern.blogspot.com
Latihan soal bahasa inggris (ukk) kelas 5: (2) dapat membantu membuka tutup botol dari gabus yang sukar dibuka. Sebuah benda yang massanya 1 kg dipanaskan dari suhu 25c menjadi 125c. Soal ipa kelas 7 smp bab besaran dan satuan dan kunci jawaban Pemuaian panjang dan lebar benda merupakan pemuaian.
Source: menjawabsoalmu.blogspot.com
Latihan soal ipa tata surya kelas 7 smp mts kurikulum 2013 ; Soal ipa kelas 7 smp bab asam, basa, garam dan kunci jawaban. (4) dapat menjaga suhu setrika listrik pada nilai tertentu. Latihan soal ipa klasifikasi makhluk hidup kelas 7 smp k13 ; Latihan soal ipa pemuaian kelas 7 smp kurikulum 2013.
Source: es.scribd.com
Contoh soal pemuaian luas 1. Demikian soal latihan suhu dan pemuaian kelas 7 yang dapat kami rangkum. Soal ipa online kelas 7 smp bab asam, basa, garam. Latihan soal ipa unsur senyawa campuran kelas 7 k13 ; Ilustrasi panci mengalami pemuaian akibat dipanaskan.
Source: kuncijawabanpdf.blogspot.com
Berikut ini dibagikan latihan soal ipa pemuaian kelas 7 smp kurikulum 201 3. (4) dapat menjaga suhu setrika listrik pada nilai tertentu. Latihan soal ini untuk membantu belajar peserta didik kelas 7 smp/mts dalam memahami materi pemuaian. Contoh soal fisika kelas 7 smp/mts. Soal dan kunci jawaban materi bilangan bulat berikut 7 soal materi bilangan bulat dilengkapi kunci jawabannya 1.
Source: kuncijawabanpdf.blogspot.com
Pertambahan suhu δt 70 o c 20 o c 50 o c panjang awal l 1 40 cm koefisien muai panjang baja a 10 5 o c 1 ditanya. 25 response to soal dan pembahasan materi suhu dan pemuaian smp kelas viii paket 1 unknown. Δa adalah pertambahan luas β adalah lambang koefisien muai luas β = 2α δt adalah perubahan. Latihan soal bahasa inggris (ukk) kelas 5: Berikut dibagikan latihan soal ipa perubahan fisika dan kimia kelas 7 smp k13.
Source: scribd.com
Pertambahan volume suatu zat yang dipanaskan, secara fisis akan: Fokus pelajaran fisika kelas 7 yaitu pemuaian luas atau dikenal juga dengan istilah muai luas. Kalor dalam perubahan wujud zat. Soal ipa online kelas 7 smp bab asam, basa, garam. Berilah tanda silang x pada huruf a b c atau d pada jawaban yang benar.
Source: ahlisoal.blogspot.com
Kaca jendela dapat retak jika terkena panas. (4) dapat menjaga suhu setrika listrik pada nilai tertentu. Berikut dibagikan latihan soal ipa perubahan fisika dan kimia kelas 7 smp k13. Latihan soal ipa ini untuk membantu belajar peserta didik kelas 7 smpmts dalam memahami materi energi dan. Ipa fisika (gerak) kelas 1:
Source: soal-fisika-a.blogspot.com
Pemuaian panjang dan lebar benda merupakan pemuaian luas. Contoh soal fisika kelas vii smpmts secara lengkap i. Soal ipa kelas 7 smp bab besaran dan satuan dan kunci jawaban Pada pemuaian zat padat dibagi menjadi muai panjang muai luas dan muai volume. Contoh soal fisika 7 smpmts 2020 2021.
Source: slideshare.net
Button juara dunia 2009 ; Pertambahan suhu δt 70 o c 20 o c 50 o c panjang awal l 1 40 cm koefisien muai panjang baja a 10 5 o c 1 ditanya. Ipa fisika (gerak) kelas 1: Latihan soal ipa ini untuk membantu belajar peserta didik kelas 7 smpmts dalam memahami materi energi dan. Soal ipa online kelas 7 smp bab asam, basa, garam.
Source: soalperhitungan.blogspot.com
Soal un 1999 2000 no 10. Latihan soal ipa perubahan fisika dan kimia kelas 7 smp k13. Contoh pemuaian luas dapat kita jumpai pada pemuaian kaca jendela. Kaca jendela dapat retak jika terkena panas. (4) dapat menjaga suhu setrika listrik pada nilai tertentu.
Source: lefuta.blogspot.com
Latihan soal ini untuk membantu belajar peserta didik kelas 7 smp/mts dalam memahami materi perubahan fisika dan kimia. Latihan soal fisika smp kelas 7 pemuaian. Soal ipa kelas 7 smp bab besaran dan satuan dan kunci jawaban Kumpulan soal soal suhu pemuaian dan kalor un ipa smp kelas 9 nurul. 25 response to soal dan pembahasan materi suhu dan pemuaian smp kelas viii paket 1 unknown.
Source: jawabansiswapintar.blogspot.com
Latihan soal fisika kelas 7 dan pembahasan. Berikut dibagikan latihan soal ipa perubahan fisika dan kimia kelas 7 smp k13. Soal ipa kelas 7 yang akan disajikan dalam artikel ini merupakan contoh latihan soal. Berikut adalah contoh latihan soal fisika untuk kelas 7 pada semester 1 dengan materi suhu dan pemuaian ada 15 soal pilihan ganda dengan pembahasannya ala saya hehehe dalam pembahasan soal ada tips tips untuk menguasai fisika pada materi suhu dan pemuaian. (1) dapat memasang dua buah roda besi yang ukurannya hampir sama.
This site is an open community for users to submit their favorite wallpapers on the internet, all images or pictures in this website are for personal wallpaper use only, it is stricly prohibited to use this wallpaper for commercial purposes, if you are the author and find this image is shared without your permission, please kindly raise a DMCA report to Us.
If you find this site adventageous, please support us by sharing this posts to your favorite social media accounts like Facebook, Instagram and so on or you can also save this blog page with the title soal fisika pemuaian kelas 7 by using Ctrl + D for devices a laptop with a Windows operating system or Command + D for laptops with an Apple operating system. If you use a smartphone, you can also use the drawer menu of the browser you are using. Whether it’s a Windows, Mac, iOS or Android operating system, you will still be able to bookmark this website.




