Rumus Kekuatan Lensa. Untuk mencari satuan dioptri ini, terlebih dahulu harus mengubah satuan dari jarak fokus ke dalam satuan meter. Kekuatan lensa dinyatakan dengan satuan dioptri (d). P = 200/150 = 4/3 dioptri. Miopi atau yang biasa disebut dengan rabun jauh adalah ketika bayangan benda pada mata jatuh di depan retina.
Terbaik Contoh Soal Menghitung Kekuatan Lensa Cembung From terbarulatihansoal.blogspot.com
Dan sebaliknya, makin panjang jarak fokus lensa, maka kekuatan lensa akan semakin kecil. Pada lensa cembung yang bersifat konvergen, maka kekuatan lensa didefinisikan. Karena lensa cekung bersifat menyebarkan cahaya. Selain itu kalian juga pernah mempelajari kekuatan atau daya lensa. Rabun dekat atau hipermetropi atau juga lazim disebut hiperopia adalah kelainan penyimpangan arah rambat gelombang pada mata di mana bayangan dari berkar sinar yang masuk melalui lensa mata jatuh di belakang layar mata. Pengertian sifat rumus contoh soal.
3.3 jarak lensa objektif dan lensa okuler;
F ob = 40 m = 4000 cm. R 2 radius kelengkungan permukaan 2 lensa. Hallo sahabat, jika berbicara masalah lensa pasti terdapat keterkaitannya dengan mata. F dalam satuan m, dan p dalam satuan dioptri. F ob = 40 m = 4000 cm. P = 200/150 = 4/3 dioptri.
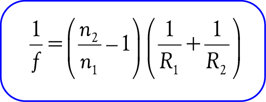
Source: fismath.com
Jadi kekuatan lensa kacamata yang diperlukan adalah 4/3 dioptri. Rabun dekat atau hipermetropi atau juga lazim disebut hiperopia adalah kelainan penyimpangan arah rambat gelombang pada mata di mana bayangan dari berkar sinar yang masuk melalui lensa mata jatuh di belakang layar mata. Untuk menghitung kekuatan lensa dapat digunakan persamaan rumus berikut: P = kekuatan lensa (d atau dioptri) f = jarak fokus lensa (cm) baca juga: Hallo sahabat, jika berbicara masalah lensa pasti terdapat keterkaitannya dengan mata.
Source: slideshare.net
Karena itulah dikenal dimensi kuat lensa, yaitu kemampuan sebuah lensa untuk mengumpulkan atau menyebarkan berkas sinar. Contoh soal perhitungan kekuatan lensa cembung hipermetropia. Ada dua rumus yang bisa kita gunakan, meski pada dasarnya sama saja, yaitu sebagai. F dalam satuan m, dan p dalam satuan dioptri. Lensa negatif berjarak fokus 50 cm.
Source: guruipa123.blogspot.com
Rumus kekuatan lensa pada penderita miopi dan hipermetropi. P = kekuatan lensa (d atau dioptri) f = jarak fokus lensa (cm) baca juga: Untuk mencari satuan dioptri ini, terlebih dahulu harus mengubah satuan dari jarak fokus ke dalam satuan meter. Rabun dekat atau hipermetropi atau juga lazim disebut hiperopia adalah kelainan penyimpangan arah rambat gelombang pada mata di mana bayangan dari berkar sinar yang masuk melalui lensa mata jatuh di belakang layar mata. Rumus kekuatan lensa (berbanding terbalik dengan jarak titik fokus) adalah :
Source: pelajaranipaonline.blogspot.com
P = kekuatan lensa (d atau dioptri) f = jarak fokus lensa (cm) baca juga: Untuk mencari satuan dioptri ini, terlebih dahulu harus mengubah satuan dari jarak fokus ke dalam satuan meter. Cacat mata ini seseorang tidak bisa melihat benda yang jauh. Lensa adalah benda bening tembus cahaya yang terdiri dari 2 atau 1 bidang lengkung dan 1 bidang datar. Pada lensa cembung yang bersifat konvergen, maka kekuatan lensa didefinisikan.
Source: pelajaranipaonline.blogspot.com
Lup (kaca pembesar) pembesaran bayangan saat mata tidak berakomodasi = dengan ketentuan: P = 200/150 = 4/3 dioptri. Rumus kekuatan lensa (berbanding terbalik dengan jarak titik fokus) adalah : Jadi kekuatan lensa kacamata yang diperlukan adalah 4/3 dioptri. Titik terjauh mata normal ( f ) s� :
Source: fismath.com
Jarak focus lensa objektif teleskop dapat dinyatakan dengan rumus berikut. Karena lensa cekung bersifat menyebarkan cahaya. Lalu seperti apa rumus kekuatan lensa ini? Apabila jarak terdekat mata normal sudah ditentukan sejauh 25 cm, maka rumus tersebut dapat dipersingkat menjadi: Contoh soal perhitungan kekuatan lensa cembung hipermetropia.
Source: guruipa123.blogspot.com
Titik terjauh mata normal ( f ) s� : Dari penggabungan lensa ini maka akan didapatkan fokus gabungan atau daya lensa gabungan. Rumus kekuatan lensa kacamata miopi dan hipermetropi beserta contoh soalnya. Masalah mata, terdapat seseorang yang memiliki mata yang masih sehat & terdapat juga yang. Artinya makin pendek jarak fokus lensa, kekuatan lensa semakin besar.
Source: nsurata-belajarfisika.blogspot.com
Rumus kekuatan lensa cembung dan cekung digunakan untuk menghitung seberapa besar kekuatan memfokuskan cahaya dari sebuah lensa. Apabila jarak terdekat mata normal sudah ditentukan sejauh 25 cm, maka rumus tersebut dapat dipersingkat menjadi: Lalu seperti apa rumus kekuatan lensa ini? Lensa adalah benda bening tembus cahaya yang terdiri dari 2 atau 1 bidang lengkung dan 1 bidang datar. Rumus kekuatan lensa (power lens) p = dengan satuan = dioptri.
Source: myrightspot.com
Titik terjauh mata normal ( f ) s� : Titik terjauh mata miopi (m) karena jarak titik terjauh mata normal bernilai tak terhingga, kekuatan lensa negatif yang digunakan juga dapat ditentukan dengan rumus berikut. Selain itu kalian juga pernah mempelajari kekuatan atau daya lensa. Untuk memantapkan pemahaman anda tentang bagaimana cara menghitung kekuatan sebuah lensa, silahkan contoh soal di bawah ini. Miopi atau yang biasa disebut dengan rabun jauh adalah ketika bayangan benda pada mata jatuh di depan retina.
Source: biangcara.com
Rabun dekat atau hipermetropi atau juga lazim disebut hiperopia adalah kelainan penyimpangan arah rambat gelombang pada mata di mana bayangan dari berkar sinar yang masuk melalui lensa mata jatuh di belakang layar mata. Dari penggabungan lensa ini maka akan didapatkan fokus gabungan atau daya lensa gabungan. P kekuatan lensa d atau dioptri f jarak fokus lensa cm baca juga. Lalu seperti apa rumus kekuatan lensa ini? Rumus menentukan jarak fokus lensa objektif teleskop teropong.
Source: pelajaranipaonline.blogspot.com
Kekuatan lensa (dioptri) s : Rumus kekuatan lensa (berbanding terbalik dengan jarak titik fokus) adalah : R 2 radius kelengkungan permukaan 2 lensa. Rumus kekuatan lensa (power lens) p = dengan satuan = dioptri. Contoh soal perhitungan kekuatan lensa cembung hipermetropia.
Source: projectsoal.blogspot.com
Untuk mencari satuan dioptri ini, terlebih dahulu harus mengubah satuan dari jarak fokus ke dalam satuan meter. Loncat ke navigasi loncat ke pencarian. Rumus kekuatan lensa cembung dan cekung digunakan untuk menghitung seberapa besar kekuatan memfokuskan cahaya dari sebuah lensa. Kekuatan lensa dinyatakan dengan satuan dioptri (d). Hallo sahabat, jika berbicara masalah lensa pasti terdapat keterkaitannya dengan mata.
Source: youtube.com
R 2 radius kelengkungan permukaan 2 lensa. Apabila satuan f dalam satuan sentimeter cm maka untuk menggunakan rumus di atas kalian perlu melakukan konversi satuan ke meter m. Rumus kekuatan lensa pada penderita miopi dan hipermetropi. Rabun dekat atau hipermetropi atau juga lazim disebut hiperopia adalah kelainan penyimpangan arah rambat gelombang pada mata di mana bayangan dari berkar sinar yang masuk melalui lensa mata jatuh di belakang layar mata. Pengertian sifat rumus contoh soal.
Source: pelajaranipaonline.blogspot.com
Cacat mata ini seseorang tidak bisa melihat benda yang jauh. Rumus kekuatan lensa (berbanding terbalik dengan jarak titik fokus) adalah : F dalam satuan m, dan p dalam satuan dioptri. Untuk mencari satuan dioptri ini, terlebih dahulu harus mengubah satuan dari jarak fokus ke dalam satuan meter. Pada lensa cembung yang bersifat konvergen, maka kekuatan lensa didefinisikan.
Source: slideshare.net
Titik terjauh mata miopi (m) karena jarak titik terjauh mata normal bernilai tak terhingga, kekuatan lensa negatif yang digunakan juga dapat ditentukan dengan rumus berikut. Selain itu kalian juga pernah mempelajari kekuatan atau daya lensa. Masalah mata, terdapat seseorang yang memiliki mata yang masih sehat & terdapat juga yang. Untuk memantapkan pemahaman anda tentang bagaimana cara menghitung kekuatan sebuah lensa, silahkan contoh soal di bawah ini. F ob = 40 m = 4000 cm.
Source: ruangbacavirtual.blogspot.com
Lensa adalah benda bening tembus cahaya yang terdiri dari 2 atau 1 bidang lengkung dan 1 bidang datar. Dan sebaliknya, makin panjang jarak fokus lensa, maka kekuatan lensa akan semakin kecil. Lensa adalah benda bening tembus cahaya yang terdiri dari 2 atau 1 bidang lengkung dan 1 bidang datar. Ada dua rumus yang bisa kita gunakan, meski pada dasarnya sama saja, yaitu sebagai. Karena itulah dikenal dimensi kuat lensa, yaitu kemampuan sebuah lensa untuk mengumpulkan atau menyebarkan berkas sinar.
Source: fismath.com
Rumus kekuatan lensa kacamata miopi dan hipermetropi beserta contoh soalnya. R 2 radius kelengkungan permukaan 2 lensa. Pernyataan yang tepat berdasarkan data di atas adalah. Rumus kekuatan lensa kacamata miopi dan hipermetropi beserta contoh soalnya. Titik terjauh mata miopi (m) karena jarak titik terjauh mata normal bernilai tak terhingga, kekuatan lensa negatif yang digunakan juga dapat ditentukan dengan rumus berikut.
Source: pelajaranipaonline.blogspot.com
Rumus kekuatan lensa kacamata miopi dan hipermetropi beserta contoh soalnya. Karena itulah dikenal dimensi kuat lensa, yaitu kemampuan sebuah lensa untuk mengumpulkan atau menyebarkan berkas sinar. Untuk menghitung kekuatan lensa dapat digunakan persamaan rumus berikut: F dalam satuan m, dan p dalam satuan dioptri. Titik terjauh mata miopi (m) karena jarak titik terjauh mata normal bernilai tak terhingga, kekuatan lensa negatif yang digunakan juga dapat ditentukan dengan rumus berikut.
This site is an open community for users to submit their favorite wallpapers on the internet, all images or pictures in this website are for personal wallpaper use only, it is stricly prohibited to use this wallpaper for commercial purposes, if you are the author and find this image is shared without your permission, please kindly raise a DMCA report to Us.
If you find this site beneficial, please support us by sharing this posts to your own social media accounts like Facebook, Instagram and so on or you can also bookmark this blog page with the title rumus kekuatan lensa by using Ctrl + D for devices a laptop with a Windows operating system or Command + D for laptops with an Apple operating system. If you use a smartphone, you can also use the drawer menu of the browser you are using. Whether it’s a Windows, Mac, iOS or Android operating system, you will still be able to bookmark this website.





