Psikotes Angka Berkolom. Pada psikotes matematika, kamu akan dihadapkan dengan soal deret angka, aritmetika, angka berkolom, matematika berpola, serta geometri. 18 21 24 27 30. Bagian lain dari psikotes adalah tes kepribadian. Contoh soal angka berkolom ke 1.
99+ Contoh Soal Psikotes Dan Jawabannya From slidedigitalmarketing.com
Psikotes masuk dalam proses rekrut pekerja. Dengan mempelajari contoh soal tersebut, maka anda akan lebih familiar dan memahami variasi yang ditampilkan dalam tes tersebut. Tes deret angka, tes angka berkolom, tes aritmetika, tes matematika berpola, tes matematika dan geometri. Banyak orang yang takut ketika menghadapi pisikotes dikarenakan memang tes ini merupakan tes yang cukup sulit bagi sebagian. Video ini berisi penjelasan tentang trik/ cara mengerjakan soal psikotes angka berkolomtonton dan simak video sampai selesai ya agar lebih paham.jangan lupa. Tes deret angka tes angka berkolom tes aritmetika tes matematika berpola tes matematika dan geometri.
Tes deret angka tes angka berkolom tes aritmetika tes matematika berpola tes matematika dan geometri.
Dina berseragam putih abu abu. Soal angka berkolom hampir sama dengan soal deret angka di atas cuma yang membedakan soal angka ini dalam bentuk kolom kita langsung masuk ke soal jawaban dan pembahasannya. Contoh soal psikotes matematika, gambar. Tes deret angka tes angka berkolom tes aritmetika tes matematika berpola tes matematika dan geometri. Psikotes angka berkolom 2 pembahasan : Jawaban yang benar adalah a.
Source: youtube.com
Jawabannya pdf, contoh soal psikotes cerita dan jawabannya, download soal. Ok silahkan di tonton videonya, pelajari dan pahami semua contoh soal psikotes dan jawabannya sehingga kalian. Simak juga tentang contoh dan contoh soal psikotes deret angka dan jawabannya. Tujuan dari tes ini untuk mengetahui daya tahan seseorang dalam menyelesaikan persoalan. Video ini berisi penjelasan tentang trik/ cara mengerjakan soal psikotes angka berkolomtonton dan simak video sampai selesai ya agar lebih paham.jangan lupa.
Source: nadablog12.blogspot.com
Jawaban yang benar adalah a. Berikut ini mimin bagikan contoh soalnya buat sobat pembaca. Tes deret angka tes angka berkolom tes aritmetika tes matematika berpola tes matematika dan geometri. 392020 selanjutnya cara menjawab soal psikotes iq online ini akan dimuat pada postingan selanjutnya. Calon taruna akmil lbb quantum learning berikut ini adalah contoh soal psikotes smp dan jawabannya.
Source: terbarucarisoal.blogspot.com
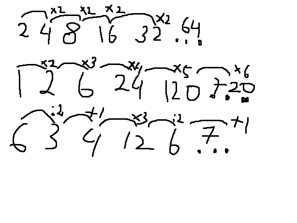
Tes angka berkolom meliputi penjumlahan, pengurangan, pola deret, penjumlahan sebagian, dan operasi hitung lainnya. Tes deret angka, tes angka berkolom, tes aritmetik… sering berlatih contoh soal psikotes verbal menjadi penting karena ia bukanlah pelajaran yang wajib diajarkan. Ok silahkan di tonton videonya, pelajari dan pahami semua contoh soal psikotes dan jawabannya sehingga kalian. Contoh soal psikotes matematika deret angka tes psikotes angka berkolom contoh. Kumpulan contoh soal psikotes, tes cpns, ujian sbmptn, dan ujian nasional sd, smp, hingga sma.
Source: contohsoalku.co
Tujuan dari tes ini untuk mengetahui daya tahan seseorang dalam menyelesaikan persoalan. Terdapat berbagai jenis psikotes matematika yang biasa diujikan. Dalam soal psikotes tersebut terdapat 20 soal psikotes deret angka dimana kamu langsung bisa melihat hasil dari jawaban kamu. Contoh soal psikotes smp 2020. Contoh soal psikotes matematika dan jawabannya angka berkolom.
Source: dikbud.github.io
Tes angka berkolom meliputi penjumlahan pengurangan pola deret penjumlahan sebagian dan operasi hitung lainnya. Calon taruna akmil lbb quantum learning berikut ini adalah contoh soal psikotes smp dan jawabannya. Ok silahkan di tonton videonya, pelajari dan pahami semua contoh soal psikotes dan jawabannya sehingga kalian. Psikotes memiliki banyak jenis seperti psikotes matematika psikotes gambar psikotes untuk mengukur kemampuan dan sikap seseorang ketika ia bekerja di suatu perusahaan ataupun. Contoh materi dan soal pertanyaan yang selalu keluar saat tes mental ideologi.
Source: latihansoalyuk.blogspot.com
Contoh soal psikotes matematika deret angka tes psikotes angka berkolom contoh. Tes angka berkolom meliputi penjumlahan, pengurangan, pola deret, penjumlahan sebagian, dan operasi hitung lainnya. Contoh soal psikotes tes psikotes adalah salah satu tahap dari perekrutan karyawan di. Psikotes angka berkolom 2 pembahasan : Pada psikotes matematika kamu akan dihadapkan dengan soal deret angka aritmetika angka berkolom matematika berpola serta geometri.
Source: titikdua.net
Contoh materi dan soal pertanyaan yang selalu keluar saat tes mental ideologi. Lengkapi kolom kosong di bawah ini dengan angka yang tepat Contoh materi dan soal pertanyaan yang selalu keluar saat tes mental ideologi. Download contoh soal psikotes 2019 matematika gambar polri bank karayawan deret. Contoh soal psikotes matematika, gambar.
Source: youtube.com
Tes ini termasuk yang sangat penting untuk dilakukan. Ok silahkan di tonton videonya, pelajari dan pahami semua contoh soal psikotes dan jawabannya sehingga kalian. Tes deret angka tes angka berkolom tes aritmetika tes matematika berpola tes matematika dan geometri. Tujuan dari tes ini untuk mengetahui daya tahan seseorang dalam menyelesaikan persoalan. Soal psikotes deret gambar dan jawabannya pdf.
Source: gambarsoalterbaru.blogspot.com
Oleh karena itu, anda sebaiknya mempelajari contoh soal psikotest untuk tes angka berkolom ini. Soal psikotes matematika bertujuan untuk mengetahui kemampuan hitungan seseorang, kemampuan berpikir, hingga kemampuan penalarannya. Dua angka untuk mengisi kelompok angka 3, 8, 9, 16, 27, 24, , adalah 81 dan 32. Contoh soal psikotes matematika, gambar. Tes angka berkolom meliputi penjumlahan, pengurangan, pola deret, penjumlahan sebagian, dan operasi hitung lainnya.
Source: barucontohsoal.blogspot.com
18 21 24 27 30. Latihan psikotes online untuk ujian psikotes kerja contoh soal tes psikometri tes iq logika matematika psikotes numerik abstrak deret angka. Tes deret angka tes angka berkolom tes aritmetika tes matematika berpola tes matematika dan geometri. Psikotes angka berkolom ada cerita apa hari ini. Jawabannya pdf, contoh soal psikotes cerita dan jawabannya, download soal.
Source: ensiklopediilmupopuler397.blogspot.com
Jawaban yang benar adalah c. Psikotes angka berkolom 2 pembahasan : 24 26 28 30 32. Jawabannya pdf, contoh soal psikotes cerita dan jawabannya, download soal. Pada psikotes matematika kamu akan dihadapkan dengan soal deret angka aritmetika angka berkolom matematika berpola serta geometri.
Source: slidedigitalmarketing.com
Tes deret angka tes angka berkolom tes aritmetika tes matematika berpola tes matematika dan geometri. 9 11 13 15 17. Tes logika aritmatika (deret angka) contoh soal psikotes logika aritmatika (deret angka) #1 24 20 16 12 =. Jawabannya pdf, contoh soal psikotes cerita dan jawabannya, download soal psikotes. Tes psikotes angka berkolom isilah kolom.
Source: balajarbersama.my.id
Contoh soal psikotes smp 2020. Psikotes masuk dalam proses rekrut pekerja. Latihan psikotes online untuk ujian psikotes kerja contoh soal tes psikometri tes iq logika matematika psikotes numerik abstrak deret angka. Contoh soal psikotes matematika, gambar. Contoh soal psikotes matematika dan jawabannya angka berkolom.
Source: baktisoal.blogspot.com
Contoh materi dan soal pertanyaan yang selalu keluar saat tes mental ideologi. Pada psikotes matematika kamu akan dihadapkan dengan soal deret angka aritmetika angka berkolom matematika berpola serta geometri. Jawabannya pdf, contoh soal psikotes cerita dan jawabannya, download soal psikotes. Soal psikotes matematika cerita dan jawabannya peranti guru Contoh soal psikotes smp 2020.
Source: idaplikasi.com
392020 selanjutnya cara menjawab soal psikotes iq online ini akan dimuat pada postingan selanjutnya. Dengan mempelajari contoh soal tersebut, maka anda akan lebih familiar dan memahami variasi yang ditampilkan dalam tes tersebut. Tes psikotes angka berkolom isilah kolom yang kosong dengan memilih jawaban yang benar! Contoh soal psikotes matematika deret angka tes psikotes angka berkolom contoh. Kunci jawaban contoh soal psikotes deret angka diatas:
Source: psikotesuntukkamu.blogspot.com
Tes logika aritmatika (deret angka) contoh soal psikotes logika aritmatika (deret angka) #1 24 20 16 12 =. Soalsoal di bawah ini berupa angkaangka yang mempunyai pola yang sama pada sebuah kolom carilah jawaban yang paling tepat dari kombinasi angka kolom tersebut. Calon taruna akmil lbb quantum learning berikut ini adalah contoh soal psikotes smp dan jawabannya. Psikotes penalaran gambar via youtube.com. Soal psikotes matematika cerita dan jawabannya peranti guru
Source: dikdasmen.my.id
Simak juga tentang contoh dan contoh soal psikotes deret angka dan jawabannya. Psikotes adalah salah satu tahapan seleksi kerja. Psikotes angka berkolom 2 pembahasan : Soal angka berkolom hampir sama dengan soal deret angka di atas, cuma yang membedakan soal angka ini dalam bentuk kolom, kita langsung masuk ke soal, jawaban dan pembahasannya. Pada psikotes matematika, kamu akan dihadapkan dengan soal deret angka, aritmetika, angka berkolom, matematika berpola, serta geometri.
Source: idaplikasi.com
Oleh karena itu, anda sebaiknya mempelajari contoh soal psikotest untuk tes angka berkolom ini. Soalsoal di bawah ini berupa angkaangka yang mempunyai pola yang sama pada sebuah kolom carilah jawaban yang paling tepat dari kombinasi angka kolom tersebut. Tes deret angka tes angka berkolom tes aritmetika tes matematika berpola tes matematika dan geometri. Jawaban yang benar adalah a. Kami akan jabarkan secara jelas dan detail mulai dari pengertian psikotes contoh serta pembahasannya.
This site is an open community for users to share their favorite wallpapers on the internet, all images or pictures in this website are for personal wallpaper use only, it is stricly prohibited to use this wallpaper for commercial purposes, if you are the author and find this image is shared without your permission, please kindly raise a DMCA report to Us.
If you find this site adventageous, please support us by sharing this posts to your own social media accounts like Facebook, Instagram and so on or you can also bookmark this blog page with the title psikotes angka berkolom by using Ctrl + D for devices a laptop with a Windows operating system or Command + D for laptops with an Apple operating system. If you use a smartphone, you can also use the drawer menu of the browser you are using. Whether it’s a Windows, Mac, iOS or Android operating system, you will still be able to bookmark this website.




