Pencerminan Terhadap Sumbu Y. Dengan demikian, koordinat bayangan titik jika dicerminkan terhadap sumbu adalah. Soal titik a 3 5 dicerminkan terhadap sumbu x. Setelah menerima materi, kamu bisa langsung mempraktikkannya dengan mengerjakan latihan soal yang telah kami sediakan. Transformasi geometri setelah sebelumnya contohsoalcoid telah membahas materi tentang integral subtitusi.
Transformasi Geometri Translasi,Refleksi,Rotasi,Dilatasi From idschool.net
Tentukan koordinat bayangan titik a. Pencerminan terhadap garis y = k : Jika garis 𝑥 − 2𝑦 − 3 = 0 dicerminkan terhadap sumbu y, maka persamaan bayangannya adalah. Bayangan titik b (2 , 3) jika dicerminkan terhadap sumbu y adalah. Tentukan bayangan garis y 3x 5 oleh translasi t 2 1. Y=x, y dan x diganti.
Materi pencerminan terhadap sumbu x dan sumbu y beserta contohnya harus dijelaskan satu persatu agar lebih mudah dipahami.
Sebuah segitiga abc dengan a (2 , 1), b (5 , 3), c (3 , 4). Contoh soal dan pembahasan tentang pencerminan terhadap sumbu x, sumbu y; Parabola 𝑦 = 𝑥2 − 3𝑥 + 2 dicerminkan terhadap sumbu y. Berapakah hasil pencerminan titik (3,5) pada sumbu x = h = 2. Oleh karena itu, jawaban yang benar adalah d. Transformasi geometri setelah sebelumnya contohsoalcoid telah membahas materi tentang integral subtitusi.
Source: masdayat.net
Ingat rumus umum refleksi terhadap sumbu yaitu. Rumus pencerminan terhadap garis y = x. Titik (3,−4) direfleksikan terhadap sumbu maka bayangannya menjadi ′(3,4) Pembahasan selanjutnya yaitu pencerminan terhadap garis y = k, seperti berikut ini. (2) substitusikan persamaan (1) dan persamaan (2) ke persamaan parabola.
Source: brainly.co.id
Contoh soal dan pembahasan tentang pencerminan terhadap sumbu x, sumbu y; Gambarlah bayangan titik r dan t pada refleksi terhadap sumbu y, kemudian r’ ’ dan t’ ! Pencerminan terhadap garis y = k : Jadi bayangan parabola dicerminkan terhadap sumbu y adalah (2) substitusikan persamaan (1) dan persamaan (2) ke persamaan parabola.
Source: brainly.co.id
Y = −3x 2 − 2x − 1 b. Sumbu x , y negatif. Namun, perlu diketahui bahwa yang kita perlukan hanya gradien dan titik potong garis dengan sumbu y. Refleksi merupakan pencerminan suatu titik atau benda terhadap garis tertentu. Contohnya titik a = (x, y) dicerminkan terhadap sumbu x.
Source: teamhannamy.blogspot.com
Secara umum rumus dari pencerminan terhadap sumbu x yaitu : Salah satu materi pembahasan dalam pelajaran matematika geometri adalah refleksi atau pencerminan terhadap sumbu x dan sumbu y beserta contohnya. Tentukan bayangan garis y 3x 5 oleh translasi t 2 1. Didapatkan hasil bayangan titik oleh pencerminan terhadap sumbu adalah. Kumpulan soal mudah sedang sukar.
Source: scribd.com
Pelajaran, soal & rumus pencerminan terhadap sumbu x & sumbu y kalau kamu ingin belajar pencerminan terhadap sumbu x dan sumbbu y secara lebih mendalam, coba simak penjelasan yang ada di sini. Y = −3x 2 + 2x − 1 d. Salah satu materi pembahasan dalam pelajaran matematika geometri adalah refleksi atau pencerminan terhadap sumbu x dan sumbu y beserta contohnya. Tentukan koordinat bayangan titik a. Pencerminan titik terhadap garis y = k.
Source: alifahnina.blogspot.com
Y = −3x 2 − 2x − 1 b. Oleh karena itu, jawaban yang benar adalah d. Soal titik a 3 5 dicerminkan terhadap sumbu x. 25/11/2020 · refleksi adalah transformasi yang memindahkan setiap titi pada bidang dengan sifat pencerminan. Matriks pencerminan terhadap sumbu x :
Source: idschool.net
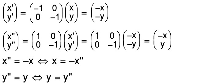
Menentukan hubungan $ (x,y) $ dan $ (x^\prime , y^\prime ) $ : Ayo kita amati gambar berikut: T 1 = matriks yang bersesuaian dengan pencerminan terhadap. Y=x, y dan x diganti. Oleh karena itu, jawaban yang benar adalah d.
Source: amikwahyuningsih.blogspot.com
Hasil transformasi pencerminan terhadap sumbu y adalah: Tentukan persamaan bayangan parabola 10. Salah satu materi pembahasan dalam pelajaran matematika geometri adalah refleksi atau pencerminan terhadap sumbu x dan sumbu y beserta contohnya. Pencerminan terhadap sumbu y atau terhadap garis x = 0. Materi pencerminan terhadap sumbu x dan sumbu y beserta contohnya harus dijelaskan satu persatu agar lebih mudah dipahami.
Source: ilmusosial.id
Pencerminan titik a terhadap sumbu y. Jika garis 𝑥 − 2𝑦 − 3 = 0 dicerminkan terhadap sumbu y, maka persamaan bayangannya adalah. Bayangan parabola dicerminkan terhadap sumbu y. T 1 = matriks yang bersesuaian dengan pencerminan terhadap. Koordinat bayangan titik oleh pencerminan terhadap sumbu adalah.
Source: yuksinau.id
Jika $(2,3) $ dikenakan transformasi t sebanyak 24 kali, maka hasil transformasinya adalah. Secara umum rumus dari pencerminan terhadap sumbu x yaitu : Dalam presentasi file swf berikut, ada beberapa rumus pencerminan: Pencerminan terhadap garis y = k : Setelah menerima materi, kamu bisa langsung mempraktikkannya dengan mengerjakan latihan soal yang telah kami sediakan.
Source: smktarunabangsa.sch.id
Berapakah hasil pencerminan titik (3,5) pada sumbu x = h = 2. Rumus pencerminan terhadap garis y = x. Sumbu x , y negatif. B.pencerminan terhadap sumbu y (x=0) gambar 12. Secara umum rumus dari pencerminan terhadap sumbu x yaitu :
Source: slideshare.net
Pencerminan titik a(a,b) terhadap sumbu y akan menghasilkan bayangan titik a�(a�,b�), dengan a� =. Membahas pencerminan atau refleksi pada sumbu x ataupun y ssangatlah sederhana. Hasil transformasi pencerminan terhadap sumbu y adalah: Setelah menerima materi, kamu bisa langsung mempraktikkannya dengan mengerjakan latihan soal yang telah kami sediakan. Kamu akan diajak untuk memahami materi hingga metode menyelesaikan soal.
Source: bedahrumus.blogspot.com
B.2x + 3y < 180x + y < 80x, y> 0 dengan x, y er. Contohnya titik a = (x, y) dicerminkan terhadap sumbu x. Perhatikan contoh berikut yang merupakan pencerminan suatu titik terhadap sumbu y. Namun, perlu diketahui bahwa yang kita perlukan hanya gradien dan titik potong garis dengan sumbu y. Oleh karena itu, supaya mudah kita jadikan persamaan garis menjadi bentuk eksplisit y=mx+c dimana m adalah gradien dan (0,c) merupakan titik potong garis dengan sumbu y.
Source: idschool.net
Rumus pencerminan terhadap garis y = x. Y = −3x 2 + 2x − 1 d. Oleh karena itu, supaya mudah kita jadikan persamaan garis menjadi bentuk eksplisit y=mx+c dimana m adalah gradien dan (0,c) merupakan titik potong garis dengan sumbu y. Berikut ini adalah ringkasan daftar matriks transformasi yang ada di refleksi atau pencerminan. Hasil transformasi pencerminan terhadap sumbu y adalah:
Source: idschool.net
Parabola 𝑦 = 𝑥2 − 3𝑥 + 2 dicerminkan terhadap sumbu y. Contoh soal dan pembahasan tentang pencerminan terhadap sumbu x, sumbu y; Rumus pencerminan terhadap garis y = x. Oleh karena itu, supaya mudah kita jadikan persamaan garis menjadi bentuk eksplisit y=mx+c dimana m adalah gradien dan (0,c) merupakan titik potong garis dengan sumbu y. Jika nilai koordinat y awalnya minus, kamu bisa.
Source: barucontohsoal.blogspot.com
Tentukan koordinat bayangan titik a. 25/11/2020 · refleksi adalah transformasi yang memindahkan setiap titi pada bidang dengan sifat pencerminan. Koordinat bayangan titik oleh pencerminan terhadap sumbu adalah. Dengan demikian, koordinat bayangan titik jika dicerminkan terhadap sumbu adalah. Berapakah hasil pencerminan titik (3,5) pada sumbu x = h = 2.
Source: brainly.co.id
Y=x, y dan x diganti. Berikut ini cara mencari titik pencerminan terhadap sumbu x dan y pada refleksi matematika beserta contoh. Pencerminan titik a(a,b) terhadap sumbu y akan menghasilkan bayangan titik a�(a�,b�), dengan a� =. Jadi bayangan parabola dicerminkan terhadap sumbu y adalah Fourier transform ift tentukan xt dan x.
Source: masdayat.net
Didapatkan hasil bayangan titik oleh pencerminan terhadap sumbu adalah. Secara umum rumus dari pencerminan terhadap sumbu x yaitu : Y=x, y dan x diganti. Matriks transformasi untuk pencerminan ini adalah sehingga. Contoh soal dan pembahasan tentang pencerminan terhadap sumbu x, sumbu y;
This site is an open community for users to do submittion their favorite wallpapers on the internet, all images or pictures in this website are for personal wallpaper use only, it is stricly prohibited to use this wallpaper for commercial purposes, if you are the author and find this image is shared without your permission, please kindly raise a DMCA report to Us.
If you find this site helpful, please support us by sharing this posts to your favorite social media accounts like Facebook, Instagram and so on or you can also save this blog page with the title pencerminan terhadap sumbu y by using Ctrl + D for devices a laptop with a Windows operating system or Command + D for laptops with an Apple operating system. If you use a smartphone, you can also use the drawer menu of the browser you are using. Whether it’s a Windows, Mac, iOS or Android operating system, you will still be able to bookmark this website.





