Pembagian Bersusun. Mempelajari langkah langkah dasar pembagian bersusun panjang akan membantumu untuk membagi bilangan apa saja baik bilangan bulat atau desimal. Karena bilangan pembagi adalah 12 maka buatlah perkalian 12x1 sampai 12x9 sbb: Keterangan latihan soal perkalian bersusun untuk siswa kelas 3 sd. Pembagian dua polinom dapat diselesaikan dengan dua cara yaitu dengan cara bersusun dan cara horner.
Rumus Matematika Pembagian Bersusun Matematika Dasar From mathlabs88.blogspot.com
5 cara penyelesaian 49 5 245 24 : Pembagian bersusun pembagian bersusun kelas 3 sd id: Salah satu operasi hitung yang tidak kalah penting untuk dipelajari ialah operasi hitung perkalian bersusun. (c) solusi untuk mengatasi kesulitan pembagian yaitu. Modul matematika sd program bermutu pembelajaran operasi hitung perkalian dan pembagian bilangan cacah di sd 2. Sebagai informasi tambahan, perlu anda ketahui bahwa menghitung pembagian dengan menggunakan porogapit tentu memiliki kelebihan dan kekurangan.
Jadi hasil pembagian bersusun dari 3780 :
Yang perlu diingat perkalian 1 sampai 9 saja. 192 bagaimanakah caranya membagi 192 dengan 6? Untuk pembagian polinom, prosesnya memenuhi juga aturan bersusun diatas. Keterangan latihan soal perkalian bersusun untuk siswa kelas 3 sd. Jumlah soal = 25 butir. Makin mudah membuat simbol matematika di word dengan adanya equation pada word.
Source: rumusonline.com
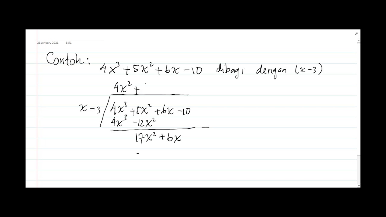
Cara horner ini kita gunakan dalam contoh 3 untuk melakukan pembagian suku banyak. Anda bisa membagi angka desimal, pecahan, atau bahkan eksponen/pangkat, dan menggunakan. Pertama kita susun kedua suku banyak tersebut sebagai berikut. Membagi bilangan yang jumlahnya 2 digit atau lebih tidaklah sulit. Salah satu operasi hitung yang tidak kalah penting untuk dipelajari ialah operasi hitung perkalian bersusun.
Source: advernesia.com
Cara pembagian bersusun porogapit, cara ini adalah cara manual paling mudah untuk menyelesaikan pembagian. Makin mudah membuat simbol matematika di word dengan adanya equation pada word. Dalam contoh, kamu akan mengurangkan 24 dari 25, sehingga hasilnya 1. Salah satu operasi hitung yang tidak kalah penting untuk dipelajari ialah operasi hitung perkalian bersusun. Selesaikan pembagian di bawah ini dengan bersusun panjang.
Source: youtube.com
5 cara penyelesaian 49 5 245 24 : Pembagian bersusun pendek 3 angka. Pertama kita susun kedua suku banyak tersebut sebagai berikut. Posting pada rumus matematika sd ditag #cara pembagian bersusun ke bawah, #cara pembagian bersusun pendek, #cara perkalian bersusun ratusan, #cara perkalian susun ratusan, #contoh soal perkalian bersusun panjang, #penjumlahan bersusun ke bawah, #penjumlahan bersusun pendek, #soal matematika kelas 3 sd perkalian dan pembagian. Pembagian dua polinom dapat diselesaikan dengan dua cara yaitu dengan cara bersusun dan cara horner.
Source: mtk.arkus.my.id
Selamat sore bapak/ibu semuanya, semoga selalu semangat dalam mendampingi putra dan putrinya belajar. Sama halnya dengan porogapit merupakan cara untuk membagi bilangan yang difitnya lebih dari satu. Pembagian polinom pada prinsipnya bersesuaian dengan pembagian pada bilangan. Dapatkah angka 1 itu dibagi 6. Kurangkan angka yang baru saja kamu tuliskan di bawah bilangan yang dibagi dengan angka pembagi tepat di atasnya.
Source: duniabelajars.blogspot.com
Semua tingkatan = 7 level. 5= 4, sisa 4 20 _ 4 x 5 = 20 45 45 : (b) faktor yang mempengaruhi kesulitan belajar operasi hitung pembagian antara lain faktor kognitif, minat, perhatian, waktu belajar, faktor orang tua, serta faktor guru; (c) solusi untuk mengatasi kesulitan pembagian yaitu. Untuk pembagian polinom, prosesnya memenuhi juga aturan bersusun diatas.
Source: belajarmtk.com
Tuliskan hasilnya di bawah garis yang sudah kamu buat. Jadi hasil pembagian bersusun dari 3780 : Untuk menguasai metode pembagian bersusun kebawah atau porogapit, hal pertama yang harus diketahui adalah mana yang dinamakan pembagi dan mana yang menjadi bilangan yang dibagi. Pembagian dua polinom dapat diselesaikan dengan dua cara yaitu dengan cara bersusun dan cara horner. Selain pembagian bersusun kita juga telah belajar untuk membagi suku banyak dengan menggunakan cara yang lebih sederhana, yaitu cara horner.
Source: blogsekolahnya.blogspot.com
Selamat sore bapak/ibu semuanya, semoga selalu semangat dalam mendampingi putra dan putrinya belajar. Operasi polinom yang satu ini dibahas secara terpisah dari ketiga operasi polinom sebelumnya, yaitu penjumlahan, pengurangan, dan perkalian. Pertama kita susun kedua suku banyak tersebut sebagai berikut. Kesulitan dalam prosedur pembagian bersusun, kesulitan mengingat fakta dasar pembagian; Untuk menguasai metode pembagian bersusun kebawah atau porogapit, hal pertama yang harus diketahui adalah mana yang dinamakan pembagi dan mana yang menjadi bilangan yang dibagi.
Source: bimbelbrilian.com
Untuk pembagian polinom, prosesnya memenuhi juga aturan bersusun diatas. Kesulitan dalam prosedur pembagian bersusun, kesulitan mengingat fakta dasar pembagian; Cara menghitung pembagian selanjutnya adalah mengurangkan hasilnya. Yang perlu diingat perkalian 1 sampai 9 saja. Karena bilangan pembagi adalah 12 maka buatlah perkalian 12x1 sampai 12x9 sbb:
Source: anaktoraja.com
Anda bisa membagi angka desimal, pecahan, atau bahkan eksponen/pangkat, dan menggunakan. Membagi bilangan tiga angka dengan cara bersusun • contoh : Anda bisa membagi angka desimal, pecahan, atau bahkan eksponen/pangkat, dan menggunakan. 5 = tepat 9 45 _ 9 x 5 = 45, jadi 245. File versi cetak = tersedia file pdf untuk diunduh (tautan download ada di bagian bawah)
Source: bimbelbrilian.com
Pembagian panjang atau pembagian bersusun. Contoh soal matematika porogapit mata pelajaran. Tuliskan hasilnya di bawah garis yang sudah kamu buat. Teorema sisa (dalil sisa) teorema ini digunakan untuk menentukan nilai sisa pembagian suatu suku banyak tanpa mengetahui suku banyak dan/atau hasil baginya. Selain itu, kita juga telah mempelajari teorema sisa dan teorema faktor.
Source: anaktoraja.com
3 =1, sisa 1 3 _ 1x3 =3 18 18x3 = 18 18 _ 6x3 = 18 0 jadi, 48 : Keterangan latihan soal perkalian bersusun untuk siswa kelas 3 sd. Latihan soal pembagian bersusun level 1 sampai 3. Jumlah soal = 25 butir. 5 = tepat 9 45 _ 9 x 5 = 45, jadi 245.
Source: anaktoraja.com
Equation ini bisa anda gunakan di word 2007, 2010, 2013, 2016 dan juga 2019. Sebagai informasi tambahan, perlu anda ketahui bahwa menghitung pembagian dengan menggunakan porogapit tentu memiliki kelebihan dan kekurangan. Selesaikan pembagian di bawah ini dengan bersusun panjang. Latihan soal pembagian bersusun level 1 sampai 3. Cara horner ini kita gunakan dalam contoh 3 untuk melakukan pembagian suku banyak.
Source: kuncidunia-31.blogspot.com
Pembagian panjang bersifat lanjut, jadi sudah bukan merupakan pembagian dasar lagi. Selain itu, kita juga telah mempelajari teorema sisa dan teorema faktor. Karena bilangan pembagi adalah 12 maka buatlah perkalian 12x1 sampai 12x9 sbb: 3 =1, sisa 1 3 _ 1x3 =3 18 18x3 = 18 18 _ 6x3 = 18 0 jadi, 48 : (b) faktor yang mempengaruhi kesulitan belajar operasi hitung pembagian antara lain faktor kognitif, minat, perhatian, waktu belajar, faktor orang tua, serta faktor guru;
Source: youtube.com
Pertama kita susun kedua suku banyak tersebut sebagai berikut. Kurangkan angka yang baru saja kamu tuliskan di bawah bilangan yang dibagi dengan angka pembagi tepat di atasnya. Setelah kita mahir dalam menyelesaikan pembagian bersusun pendek, kita bisa tingkatkan latihan kita dengan mencoba menyelesaikan soal matematika sd tentang pembagian bersusun pendek 3 angka. Pembagian polinom pada prinsipnya bersesuaian dengan pembagian pada bilangan. Mempelajari langkah langkah dasar pembagian bersusun panjang akan membantumu untuk membagi bilangan apa saja baik bilangan bulat atau desimal.
Source: anaktoraja.com
Sebagai informasi tambahan, perlu anda ketahui bahwa menghitung pembagian dengan menggunakan porogapit tentu memiliki kelebihan dan kekurangan. Cara horner ini kita gunakan dalam contoh 3 untuk melakukan pembagian suku banyak. 3 =1, sisa 1 3 _ 1x3 =3 18 18x3 = 18 18 _ 6x3 = 18 0 jadi, 48 : (b) faktor yang mempengaruhi kesulitan belajar operasi hitung pembagian antara lain faktor kognitif, minat, perhatian, waktu belajar, faktor orang tua, serta faktor guru; Setelah kita mahir dalam menyelesaikan pembagian bersusun pendek, kita bisa tingkatkan latihan kita dengan mencoba menyelesaikan soal matematika sd tentang pembagian bersusun pendek 3 angka.
Source: caragolden.com
Jadi hasil pembagian bersusun dari 3780 : (b) faktor yang mempengaruhi kesulitan belajar operasi hitung pembagian antara lain faktor kognitif, minat, perhatian, waktu belajar, faktor orang tua, serta faktor guru; 3 =1, sisa 1 3 _ 1x3 =3 18 18x3 = 18 18 _ 6x3 = 18 0 jadi, 48 : Selesaikan pembagian di bawah ini dengan bersusun panjang. Sebagai contoh akan kita lakukan pembagian 623 dengan 3 sebagai berikut:
Source: penapengajar.com
Cara menghitung pembagian selanjutnya adalah mengurangkan hasilnya. Yang perlu diingat perkalian 1 sampai 9 saja. Pembagian dengan cara diatas dinamakan metoda bersusun. Tuliskan hasilnya di bawah garis yang sudah kamu buat. Selain pembagian bersusun kita juga telah belajar untuk membagi suku banyak dengan menggunakan cara yang lebih sederhana, yaitu cara horner.
Source: rumusonline.com
Pembagian bersusun pendek 3 angka. Pembagian dengan cara bersusun pendek • contoh : Posting pada rumus matematika sd ditag #cara pembagian bersusun ke bawah, #cara pembagian bersusun pendek, #cara perkalian bersusun ratusan, #cara perkalian susun ratusan, #contoh soal perkalian bersusun panjang, #penjumlahan bersusun ke bawah, #penjumlahan bersusun pendek, #soal matematika kelas 3 sd perkalian dan pembagian. Cara pembagian bersusun porogapit, cara ini adalah cara manual paling mudah untuk menyelesaikan pembagian. Sebagai contoh akan kita lakukan pembagian 623 dengan 3 sebagai berikut:
This site is an open community for users to share their favorite wallpapers on the internet, all images or pictures in this website are for personal wallpaper use only, it is stricly prohibited to use this wallpaper for commercial purposes, if you are the author and find this image is shared without your permission, please kindly raise a DMCA report to Us.
If you find this site adventageous, please support us by sharing this posts to your preference social media accounts like Facebook, Instagram and so on or you can also save this blog page with the title pembagian bersusun by using Ctrl + D for devices a laptop with a Windows operating system or Command + D for laptops with an Apple operating system. If you use a smartphone, you can also use the drawer menu of the browser you are using. Whether it’s a Windows, Mac, iOS or Android operating system, you will still be able to bookmark this website.




