Modul Pendidikan Ips Di Sd Ut. Hal ini terbukti dengan banyak ide atau pemikiran dari para ahli seperti robert e. Konsep dan rasional “sosial studies” secara umum. Hayoo angkat tangan yang guru sd yang gak punya ijasah pgsd dan harus linier akhirnya ikut kuliah pgsd lagi ? Modul pendidikan ips hakekat, konsep dan materi sejarah dalam pembelajaran ips di sd oleh:
Modul Pendidikan Ips Di Sd Ut Terkait Pendidikan From terkaitpendidikan.blogspot.com
Latihan soal uas s1 pgsd universitas terbuka (ut) pdgk 4106 pendidikan ips di sd. Noor fani (836695462) nurus safaah (836697387) kelas/semester : Pendidikan ips di sdmodul 4isu dan masalah sosial budaya dalam pembelajaran ips sdhal. Modul 3 keterkaitan pendidikan kewarganegaraan dengan ips dan mata pelajaran lain 3. Iii daftar isi tinjauan mata kuliah. Sebelumnya kami juga telah berbagi soal ujian ut pgsd semester 3 yaitu.
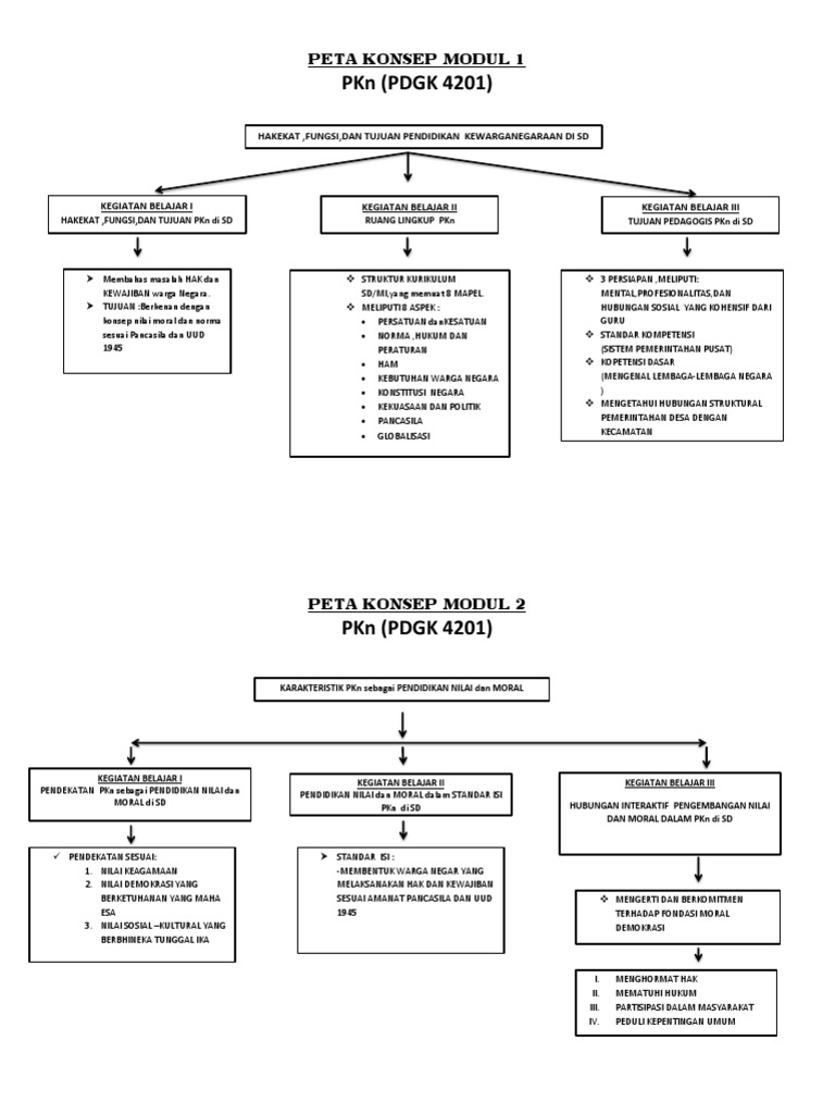
Modul 3 keterkaitan pendidikan kewarganegaraan dengan ips dan mata pelajaran lain 3.
Tugas pembelajaran pkn di sd modul 3 keterkaitan pendidikan kewarganegaraan dengan ips dan mata pelajaran lainnya oleh : Hal ini terbukti dengan banyak ide atau pemikiran dari para ahli seperti robert e. Pendidikan ips di sdmodul 4isu dan masalah sosial budaya dalam pembelajaran ips sdhal. Pdgk 4102 konsep dasar ips modul 7. Pdgk4106 pendidikan ips di sd. Inilah pembahasan lengkap terkait modul pendidikan ips di sd ut.
Source: terkaitpendidikan.blogspot.com
1 bbm 3 sumber pembelajaran cetak elektronik dan. Download soal ut pgsd pdgk4106 pendidikan ips di sd. Pdgk 4102 konsep dasar ips modul 7. Modul ini merupakan salah satu contoh bahan ajar pendidikan kesetaraan yang berbasis pada kompetensi inti dan kompetensi dasar dan didesain sesuai kurikulum 2013. Tugas resume modul 1 ut pendidikan ips di sd.
Source: revisi-baru.blogspot.com
Diposting oleh yusuf jabung | minggu, 05 april 2015. Benar, karena lebih simpel dan efektif serta berorientasi pada kompetensi dasar dengan kata kerja operasional. Buku materi pokok (bmp) pdgk4106 pendidikan ips di sd membahas tentang landasan teoritis, landasan formal, dan. Dan berikut ini saya akan berikan tugas mandiri resume modul 1 mata kuliah pendidikan ips di sd. Profil kurikulum sekolah dasar nama :
Source: scribd.com
Kedua, ips dimunculkan mulai kelas 4 sd sampai 6 sd. Ketiga, ips akan dimunculkan sebagai pelajaran tersendiri untuk kelas 5 dan 6 sd. Tinjauan perkembangan kurikulum ips sd karakteristik kurikulum pendidikan ips di sd ditinjau dari tujuan kurikuler ditinjau dari segi penyusunan tujuan kurikuler ditinjau dari segi lingkup bahan pengajaran ditinjau dari materi kurikulum ditinjau dari segi alokasi waktu kurikulum ips sd 1964 1968 1975 1986 1994 2006 menekankan unsur. Resume materi dan pembelajaran ips sd pdgk4405. Kedua, ips dimunculkan mulai kelas 4 sd sampai 6 sd.
Source: terkaitpendidikan.blogspot.com
Download soal ut pgsd pdgk4106 pendidikan ips di sd. Rangkuman materi kuliah universitas terbuka pgsd bi. Kami mengulas tentang modul pendidikan ips di sd ut. Seseorang yang ingin menjadi guru maka harus belajar di fakultas keguruan dan melamar di lingkungan pendidikan. Secara kelembagaan, program pendidikan ini dikelola dan dibina oleh direktorat jenderal pendidikan dasar dan menengah beserta satuan pengelola pendidikan di
Source: terkaitpendidikan.blogspot.com
Kegiatan belajar 1 gambaran umum dan karakteristik pendidikan kewarganegaraan 4. Soal ujian ut pgsd ini sangat membantu anda. Silahkan di didownload.ingat pakai teknik atm (amati, tiru dan modifikasi) ya. Soal pdgk 4106 pendidikan ips di sd. Kami mengulas tentang modul pendidikan ips di sd ut.
Source: terkaitpendidikan.blogspot.com
Sekian artikel soal ujian ut pgsd pdgk4205 pembelajaran terpadu di sd disertai kunci jawaban semoga soal soal tersebut bisa membantu anda dalam mendalami materi dan mempersiapkan diri untuk mengikuti uas. Jual buku pendidikan ips di sd by ut jakarta pusat ardianabook tokopedia. Secara kelembagaan, program pendidikan ini dikelola dan dibina oleh direktorat jenderal pendidikan dasar dan menengah beserta satuan pengelola pendidikan di Rangkuman modul 9 disusun untuk memenuhi salah satu tugas mata kuliah pendidikan ips sd disusun oleh : Mata kuliah ut idik4008 penelitian tindakan kelas (ptk) [disini].
Source: terkaitpendidikan.blogspot.com
Pdgk 4405 materi dan pembelajaran ips di sd pdgk 4405. Seseorang yang ingin menjadi guru maka harus belajar di fakultas keguruan dan melamar di lingkungan pendidikan. Peta konsep menganalisis keterkaitan pendidikan kewarganegaraan dengan ips dan mata pelajaran lainnya menganalisis. Modul 3 keterkaitan pendidikan kewarganegaraan dengan ips dan mata pelajaran lain 3. Diposting oleh yusuf jabung | minggu, 05 april 2015.
Source: scribd.com
37 full pdfs related to this paper. Pdgk4106 pendidikan ips di sd. Ips sebagai mata pelajaran di lembaga pendidikan mempunyai peran yang sangat strategis. Profil kurikulum sekolah dasar nama : Pdgk 4102 konsep dasar ips modul 7.
Source: terkaitpendidikan.blogspot.com
Benar, karena lebih simpel dan efektif serta berorientasi pada kompetensi dasar dengan kata kerja operasional. Hayoo angkat tangan yang guru sd yang gak punya ijasah pgsd dan harus linier akhirnya ikut kuliah pgsd lagi ? Resume materi dan pembelajaran ips sd pdgk4405. (836226079) rahmawati (836225274) tahun 2018 kegiatan belajar 1 merancang dan menerapkan penggunaan metode pembelajaran ips sd yang berlandaskan pendekatan. Ips sebagai mata pelajaran di lembaga pendidikan mempunyai peran yang sangat strategis.
Source: terkaitpendidikan.blogspot.com
Resume pendidikan ips di sd modul 6 metode, media, dan pemanfaatan sumber belajar ips sd kelas rendah oleh : Rangkuman modul 9 disusun untuk memenuhi salah satu tugas mata kuliah pendidikan ips sd disusun oleh : Tinjauan perkembangan kurikulum ips sd karakteristik kurikulum pendidikan ips di sd ditinjau dari tujuan kurikuler ditinjau dari segi penyusunan tujuan kurikuler ditinjau dari segi lingkup bahan pengajaran ditinjau dari materi kurikulum ditinjau dari segi alokasi waktu kurikulum ips sd 1964 1968 1975 1986 1994 2006 menekankan unsur. Iii daftar isi tinjauan mata kuliah. Soal ujian ut pgsd ini sangat membantu anda.
Source: terkaitpendidikan.blogspot.com
Pdgk 4102 konsep dasar ips modul 7. 1 bbm 3 sumber pembelajaran cetak elektronik dan. A short summary of this paper. Dalam wacana kurikulum sistem pendidikan di indonesia terdapat tiga jenis program pendidikan sosial, yakni : Ketiga hal pokok di atas yang merupakan isi modul ini bukanlah hal
Source: terkaitpendidikan.blogspot.com
Inilah pembahasan lengkap terkait modul pendidikan ips di sd ut. Modul pendidikan ips hakekat, konsep dan materi sejarah dalam pembelajaran ips di sd oleh: Peta konsep menganalisis keterkaitan pendidikan kewarganegaraan dengan ips dan mata pelajaran lainnya menganalisis. Hal ini terbukti dengan banyak ide atau pemikiran dari para ahli seperti robert e. Tugas pembelajaran pkn di sd modul 3 keterkaitan pendidikan kewarganegaraan dengan ips dan mata pelajaran lainnya oleh :
Source: berbagimengajar.blogspot.com
Ketiga, ips akan dimunculkan sebagai pelajaran tersendiri untuk kelas 5 dan 6 sd. Bambang suratno (823422883) s u w a n a h (821318012) yuni enita (823435722) 2. Iin dwi indriyani (836229074) maswati (836216569) noviyanti. Profil kurikulum sekolah dasar nama : Pdgk 4405 materi dan pembelajaran ips di sd pdgk 4405.
Source: belajar.lif.co.id
Soal ujian ut pgsd pdgk4203 pendidikan matematika 1 yang sudah disertai dengan kunci jawaban dan pembahsan soalnya kami posting untuk anda mahasiswa universitas terbuka, sebagai bahan pelajaran untuk mendalami materi sebelum mengkuti ujian akhir semester nantinya. Pendidikan ips di sd modul i : F modul pendidikan ips berbasis inkuri hakekat, konsep dan. Pdgk4106 pendidikan ips di sd. Soal ujian ut pgsd pdgk4203 pendidikan matematika 1 yang sudah disertai dengan kunci jawaban dan pembahsan soalnya kami posting untuk anda mahasiswa universitas terbuka, sebagai bahan pelajaran untuk mendalami materi sebelum mengkuti ujian akhir semester nantinya.
Source: scribd.com
Modul 3 keterkaitan pendidikan kewarganegaraan dengan ips dan mata pelajaran lain 3. Mata kuliah ut pdgk4301 evaluasi pembelajaran di sd [disini]. Tinjauan perkembangan kurikulum ips sd karakteristik kurikulum pendidikan ips di sd ditinjau dari tujuan kurikuler ditinjau dari segi penyusunan tujuan kurikuler ditinjau dari segi lingkup bahan pengajaran ditinjau dari materi kurikulum ditinjau dari segi alokasi waktu kurikulum ips sd 1964 1968 1975 1986 1994 2006 menekankan unsur. Secara kelembagaan, program pendidikan ini dikelola dan dibina oleh direktorat jenderal pendidikan dasar dan menengah beserta satuan pengelola pendidikan di Rangkuman modul ut pgsd bi semester 1 mata kuliah ut pdgk4205 pembelajaran terpadu di sd [disini].
Source: terkaitpendidikan.blogspot.com
Benar, karena lebih simpel dan efektif serta berorientasi pada kompetensi dasar dengan kata kerja operasional. Modul ini merupakan salah satu contoh bahan ajar pendidikan kesetaraan yang berbasis pada kompetensi inti dan kompetensi dasar dan didesain sesuai kurikulum 2013. Untuk menjawab soal ini anda dapat mempelajari modul 1 kb 1 tentang perkembangan kurikulum pendididkan ips di sd. Hakikat, landasan dan kurikulum pendidikan ips sd Buku materi pokok (bmp) pdgk4106 pendidikan ips di sd membahas tentang landasan teoritis, landasan formal, dan.
Source: es.scribd.com
Kegiatan belajar 1 gambaran umum dan karakteristik pendidikan kewarganegaraan 4. Ketiga hal pokok di atas yang merupakan isi modul ini bukanlah hal Karakteristik kurikulum tahun 1994 dilihat dari materi pelajaran ditata secara terpadu sedangkan keluasan materi diserahkan kepada guru selaku pengembang kurikulum, hal ini berbeda dengan karakteristik kurikulum. Iin dwi indriyani (836229074) maswati (836216569) noviyanti. Sekian artikel soal ujian ut pgsd pdgk4205 pembelajaran terpadu di sd disertai kunci jawaban semoga soal soal tersebut bisa membantu anda dalam mendalami materi dan mempersiapkan diri untuk mengikuti uas.
Source: terkaitpendidikan.blogspot.com
Dalam wacana kurikulum sistem pendidikan di indonesia terdapat tiga jenis program pendidikan sosial, yakni : Hal ini terbukti dengan banyak ide atau pemikiran dari para ahli seperti robert e. Yager yang memasukan ilmu, teknologi dan masyarakat (itm) baik sebgai bidang penerapan dan hubungan, kreativitas dan sikap maupun konsep dan proses. Ketiga, ips akan dimunculkan sebagai pelajaran tersendiri untuk kelas 5 dan 6 sd. Assigned status, yaitu kedudukan yang diberikan karena berjasa.
This site is an open community for users to do submittion their favorite wallpapers on the internet, all images or pictures in this website are for personal wallpaper use only, it is stricly prohibited to use this wallpaper for commercial purposes, if you are the author and find this image is shared without your permission, please kindly raise a DMCA report to Us.
If you find this site adventageous, please support us by sharing this posts to your own social media accounts like Facebook, Instagram and so on or you can also save this blog page with the title modul pendidikan ips di sd ut by using Ctrl + D for devices a laptop with a Windows operating system or Command + D for laptops with an Apple operating system. If you use a smartphone, you can also use the drawer menu of the browser you are using. Whether it’s a Windows, Mac, iOS or Android operating system, you will still be able to bookmark this website.




