Limit Fungsi Trigonometri Kelas 12 Kurikulum 2013. Limit fungsi unduh disini 11. Wbmateri pertama di kelas matematika pemintan adalah limit fungsi trigonometri dasar : Contoh soal limit fungsi aljabar 4 : Rifqi aziz (31) neila ulfiana (32) viony dhea f.
Contoh Soal Limit Fungsi Trigonometri Kelas 12 Kurikulum From soalnat.blogspot.com
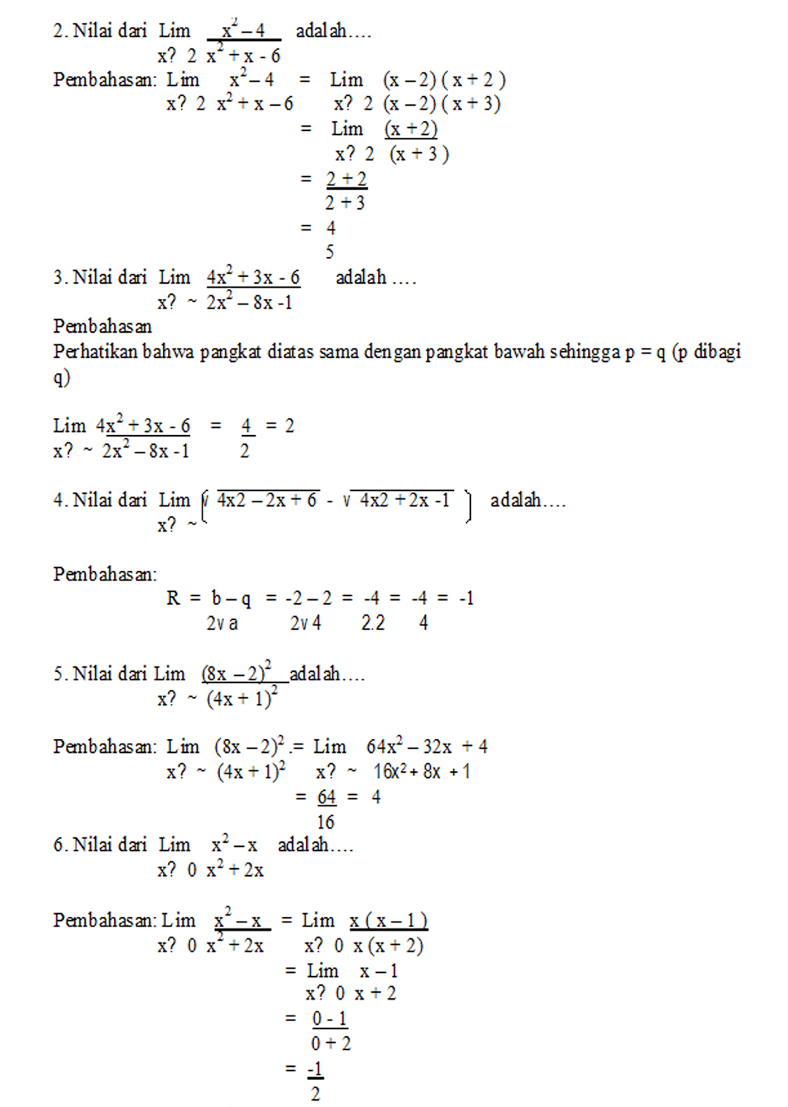
Atau dengan cara kedua yang lebih panjang, memakai turunan, 3x turunkan jadi 3 dan sin 4x turunkan jadi 4 cos 4x, kemudian. Didalam rpp (rencana pelaksanaan pembelajaran), sekenario pembelajaran dirancang oleh guru dari mulai penentuan tujuan pembelajaran sampai pada penilaian. Fungsi naik dan fungsi turun. Download rpp matematika wajib kelas x, xi, xii kurikulum 2013 ini merupakan salah satu dari perangkat yang wajib dibuat oleh guru sebelum mengajar dikelas. Rpp statistika kelas xii kurikulum 2013. Download buku matematika peminatan kelas xii (kelas 12) kurikulum 2013 revisi.
Limit fungsi unduh disini 11.
Materi matematika peminatan kelas 12 sma. Limit fungsi kelas 12 senior high clearnote. Soal kurikulum 2013 k13 kelas xii sekolah menengan atas pada. Program linier unduh disini 13. Posted in matematikatagged aturan limit trigonometri, limit fungsi trigonometri kelas 12, limit. Mulai dari limit fungsi trigonometri, trigonometri dan kalkulus, sampai dengan statistik inferensial.
Source: dapursiswasekolah.blogspot.com
Beranda / kunci jawaban matematika peminatan kelas 12 kurikulum 2013 / matematika dasar sma soal dan pembahasan turunan fungsi trigonometri sumber soal uji kompetensi buku matematika peminatan sma kelas xii defantri com : Rpp statistika kelas xii kurikulum 2013. Matematika peminatan sma kelas 12 kurikulum 2013 revisi 2018. Pada kurikulum 2013 revisi 2016 materi ini dipelajari di kelas xii matematika peminatan semester ganjil. Materi matematika peminatan kelas 12 sma.
Source: trigonometri-logaritma.blogspot.com
Sebelum membahas cara menentukan nilai limit trigonometri sebaiknya memahami pengertian limit dahulu. Perangkat pembelajaran pai dan bp kelas 12 kurikulum revisi 2018 unduh gratis. Revisi rpp matematika wajib kelas xii pokok bahasan statistika sma negeri 3 solok selatan tahun pelajaran 2016 2017. Sma negeri 3 solok selatan. Limit tak hingga fungsi aljabar dan trigonometri 3.
Source: gurusdsmpsma.blogspot.com
Cara subtitusi.saya mencoba mengulas materi ini d. Posted in matematikatagged aturan limit trigonometri, limit fungsi trigonometri kelas 12, limit. Modul matematika peminatan kelas xii kd 3.1 @2020, direktorat sma, direktorat jenderal paud, dikdas dan dikmen 5 peta konsep ananda tercinta, berikut disajikan peta materi untuk konsep limit fungsi trigonometri. Matematika tv adalah bimbel portable dalam platform youtube yang beris. Materi soal pas matematika peminatan kelas 12 semester 1 diambil sesuai buku siswa/ buku guru matematika kelas 12 sma/ma smk/mak semester 1 kurikulum 2013 edisi revisi 2018.
Source: yuk.mojok.my.id
Didalam rpp (rencana pelaksanaan pembelajaran), sekenario pembelajaran dirancang oleh guru dari mulai penentuan tujuan pembelajaran sampai pada penilaian. Soal juga dapat diunduh melalui tautan berikut. Sekian kumpulan soal limit fungsi trigonometri disertai dengan pembahasannya. Di sini kami sediakan materi untuk pelajaran matematika peminatan sma kelas x kurikulum 2013 revisi 2018. Modul matematika peminatan kelas xii kd 3.1 @2020, direktorat sma, direktorat jenderal paud, dikdas dan dikmen 5 peta konsep ananda tercinta, berikut disajikan peta materi untuk konsep limit fungsi trigonometri.
Source: soalkitas.blogspot.com
Program linier unduh disini 13. Revisi rpp matematika wajib kelas xii pokok bahasan statistika sma negeri 3 solok selatan tahun pelajaran 2016 2017. Modul matematika peminatan kelas xii kd 3.1 @2020, direktorat sma, direktorat jenderal paud, dikdas dan dikmen 5 peta konsep ananda tercinta, berikut disajikan peta materi untuk konsep limit fungsi trigonometri. Pada kurikulum 2013 revisi 2016 materi ini dipelajari di kelas xii matematika peminatan semester ganjil. Sma negeri 3 solok selatan.
Source: soalnat.blogspot.com
Pada kesempatan kali ini kita akan membahas soal tentang integral fungsi trigonometri. Sebagai pembuka pada materi ini murid akan mendapat sub pengertian limit yang memiliki pengertian prediksi sebuah nilai ordinat yang didapat dari suatu titik. Sistem persamaan linear unduh disini demikian artikel tentang download kumpulan modul matematika sma/ma kurikulum 2013 revisi 2018 kelas x, xi, dan xii lengkap. Atau dengan cara kedua yang lebih panjang, memakai turunan, 3x turunkan jadi 3 dan sin 4x turunkan jadi 4 cos 4x, kemudian. Modul matematika peminatan kelas xii kd 3.1 @2020, direktorat sma, direktorat jenderal paud, dikdas dan dikmen 5 peta konsep ananda tercinta, berikut disajikan peta materi untuk konsep limit fungsi trigonometri.
Source: skuylahhu.com
14 contoh soal dan pembahasan limit fungsi trigonometri kelas 12. Pembelajaran pas matematika kelas 12 (xii) semester 1 pada buku siswa/ buku guru matematika kelas 12 sma/ma semester 1 kurikulum 2013 edisi revisi 2018 adalah sebagai berikut: Pada kesempatan kali ini kita akan membahas soal tentang integral fungsi trigonometri. Materi matematika peminatan kelas 12 sma. Rpp statistika sma kurikulum 2013 doc.
Source: contoh-surat.co
Cara subtitusi.saya mencoba mengulas materi ini d. Pada kesempatan ini soal terbaru akan membahas materi limit fungsi trigonometri, mencakup konsep, rujukan soal dan pembahasan. Matematika peminatan sma kelas 12 kurikulum 2013 revisi 2018. Sma negeri 3 solok selatan. Download rpp matematika wajib kelas x, xi, xii kurikulum 2013 ini merupakan salah satu dari perangkat yang wajib dibuat oleh guru sebelum mengajar dikelas.
Source: trigonometri-logaritma.blogspot.com
Modul matematika peminatan kelas xii kd 3.1 @2020, direktorat sma, direktorat jenderal paud, dikdas dan dikmen 5 peta konsep ananda tercinta, berikut disajikan peta materi untuk konsep limit fungsi trigonometri. Berkaitan dengan trigonometri di kelas x dan limit fungsi aljabar di kelas xi. Materi limit berhingga fungsi trigonometri. Pada pertemuan kali ini kita akan membahas tentang limit fungsi trigonometri. Limit fungsi prasyarat mendekati nol aljabar.
Source: 101contohsoal.blogspot.com
Materi limit berhingga fungsi trigonometri. Soal juga dapat diunduh melalui tautan berikut. Pada kesempatan kali ini kita akan membahas soal tentang integral fungsi trigonometri. Matematika peminatan sma kelas 12 kurikulum 2013 revisi 2018. Berkaitan dengan trigonometri di kelas x dan limit fungsi aljabar di kelas xi.
Source: baktisoal.blogspot.com
Modul matematika peminatan kelas xii kd 3.1 @2020, direktorat sma, direktorat jenderal paud, dikdas dan dikmen 5 peta konsep ananda tercinta, berikut disajikan peta materi untuk konsep limit fungsi trigonometri. Jika ananda sedikit lupa tentang kedua hal tersebut, ananda boleh membuka kembali buku matematika kelas x dan xi dan mengingat kedua konsep tersebut yang telah bapak/ibu guru matematika ajarkan di. Misalnya saja apa saja prinsip dasarnya. Sekian kumpulan soal limit fungsi trigonometri disertai dengan pembahasannya. Materi matematika peminatan kelas 12 sma.
Source: gurupaud.my.id
120 limit fungsi trigonometri 43 sman 12 makassar lim ๐ฆ0 4 ๐ฆ ๐ 2 cos2 ๐ 2 ๐ฆ ๐ ๐ฆ tan ๐ฆ lim ๐ฆ0 4๐ฆ 2๐ sin ๐ฆ2 ๐ ๐ฆ tan ๐ฆ lim ๐ฆ0 4๐ฆ 2๐ ๐. Mulai dari limit fungsi trigonometri, trigonometri dan kalkulus, sampai dengan statistik inferensial. Pada kesempatan kali ini kita akan membahas soal tentang integral fungsi trigonometri. Rpp statistika kelas xii kurikulum 2013. Rpp statistika sma kurikulum 2013 doc.
Source: soalnat.blogspot.com
Mulai dari limit fungsi trigonometri, trigonometri dan kalkulus, sampai dengan statistik inferensial. Pembelajarannya bisa meluas ke beberapa topik lainnya. Materi matematika peminatan kelas 12 sma. Rifqi aziz (31) neila ulfiana (32) viony dhea f. Materi soal pas matematika peminatan kelas 12 semester 1 diambil sesuai buku siswa/ buku guru matematika kelas 12 sma/ma smk/mak semester 1 kurikulum 2013 edisi revisi 2018.
Source: herbetbooks.blogspot.com
Rifqi aziz (31) neila ulfiana (32) viony dhea f. Matematika peminatan kelas xii 1. Pembelajarannya bisa meluas ke beberapa topik lainnya. Materi soal pas matematika peminatan kelas 12 semester 1 diambil sesuai buku siswa/ buku guru matematika kelas 12 sma/ma smk/mak semester 1 kurikulum 2013 edisi revisi 2018. Berikut ini kami bagikan bank soal materi limit fungsi trigonometri menuju ketakhinggaan limit tak hingga trigonometri materi ini dipelajari di kelas 12 pada matematika peminatan untuk kurikulum 2013 revisi terbaru.
Source: sobatguru.com
Limit tak hingga fungsi aljabar dan trigonometri 3. Sekian kumpulan soal limit fungsi trigonometri disertai dengan pembahasannya. Pada kesempatan kali ini kita akan membahas soal tentang integral fungsi trigonometri. 14 contoh soal dan pembahasan limit fungsi trigonometri kelas 12. Jika ananda sedikit lupa tentang kedua hal tersebut, ananda boleh membuka kembali buku matematika kelas x dan xi dan mengingat kedua konsep tersebut yang telah bapak/ibu guru matematika ajarkan di.
Source: trigonometri-logaritma.blogspot.com
120 limit fungsi trigonometri 43 sman 12 makassar lim ๐ฆ0 4 ๐ฆ ๐ 2 cos2 ๐ 2 ๐ฆ ๐ ๐ฆ tan ๐ฆ lim ๐ฆ0 4๐ฆ 2๐ sin ๐ฆ2 ๐ ๐ฆ tan ๐ฆ lim ๐ฆ0 4๐ฆ 2๐ ๐. Soal juga dapat diunduh melalui tautan berikut. Sebagai pembuka pada materi ini murid akan mendapat sub pengertian limit yang memiliki pengertian prediksi sebuah nilai ordinat yang didapat dari suatu titik. Fungsi naik dan fungsi turun. Mulai dari limit fungsi trigonometri, trigonometri dan kalkulus, sampai dengan statistik inferensial.
Source: gallerygambar-19.blogspot.com
Rpp statistika sma kurikulum 2013 doc. Matematika tv adalah bimbel portable dalam platform youtube yang beris. 14 contoh soal dan pembahasan limit fungsi trigonometri kelas 12. Matematika peminatan sma kelas 12 kurikulum 2013 revisi 2018. Matematika peminatan kelas xii 1.
Source: 101contohsoal.blogspot.com
Download soal limit tak hingga trigonometri (matematika peminatan kelas xii kurikulum 2013 revisi) 1 comment berikut ini kami bagikan bank soal materi limit fungsi trigonometri menuju ketakhinggaan (limit tak hingga trigonometri), materi ini dipelajari di kelas 12 pada matematika peminatan untuk kurikulum 2013 revisi terbaru. Jadi, buat kalian yang ingin mempelajari materi ini silahkan di download langsung di sini. Contoh soal limit fungsi aljabar 4 : Wbmateri pertama di kelas matematika pemintan adalah limit fungsi trigonometri dasar : Modul matematika peminatan kelas xii kd 3.1 @2020, direktorat sma, direktorat jenderal paud, dikdas dan dikmen 5 peta konsep ananda tercinta, berikut disajikan peta materi untuk konsep limit fungsi trigonometri.
This site is an open community for users to share their favorite wallpapers on the internet, all images or pictures in this website are for personal wallpaper use only, it is stricly prohibited to use this wallpaper for commercial purposes, if you are the author and find this image is shared without your permission, please kindly raise a DMCA report to Us.
If you find this site helpful, please support us by sharing this posts to your own social media accounts like Facebook, Instagram and so on or you can also save this blog page with the title limit fungsi trigonometri kelas 12 kurikulum 2013 by using Ctrl + D for devices a laptop with a Windows operating system or Command + D for laptops with an Apple operating system. If you use a smartphone, you can also use the drawer menu of the browser you are using. Whether it’s a Windows, Mac, iOS or Android operating system, you will still be able to bookmark this website.




