Laporan Rtk Calon Kepala Sekolah. Calon kepala sekolah melakukan evaluasi di akhir pelaksanaan iht untuk mengetahui pencapaian indikator keberhasilan. Bab iii pelaksanaan rencana tindak lanjut a. Posted on jumat, 26 oktober 2012 by unknown. Dalam perosesnya dibimbing oleh pengajar diklat.
Contoh Laporan Ojl Calon Kepala Sekolah Sd 2017 Seputar From seputaranlaporan.blogspot.com
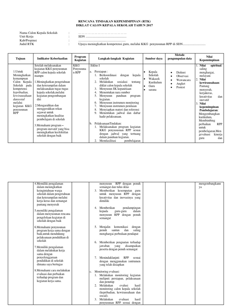
Berikut ini contoh laporan ojl cakep (calon kepala sekolah) lengkap meliputi ojl cakep 2016, contoh laporan ojl kompetensi manajerial, contoh laporan ojl bab 3, contoh laporan ojl supervisi akademik, contoh judul rtk, Matriks rtk terdiri 6 kolom, yakni 1) tujuan, 2) indikator, 3) program kegiatan, 4) skenario kegiatan, 5) sumber daya, 6) metode pengumpulan data, dan 7) refleksi. Rencana tindakan kepemimpinan (rtk) diklat calon kepala sekolah nama calon kepala madrasah : Materi dan laporan diklat calon kepala sekolah al maududy. Kirimkan ini lewat emailblogthis!berbagi ke twitterberbagi ke facebookbagikan ke pinterest. Man 2 pesisir selatan kab/kota :
Pelaksanaan rencana tindak kepemimpinan 1.
Langkah pertama yang dilakukan adalah mengetahui struktur laporan ojl secara utuh. 196705251991031006 sdn sagara 2 kecamatan cibalong kabupaten garut program penyiapan calon kepala sekolah dinas pendidikan kabupaten garut provinsi jawa barat tahun 2015 f latar 1. Calon kepala sekolah melakukan evaluasi diakhir pelaksanaan iht untuk mengetahui pencapaian indicator keberhasilan dengan kegiatan monev, calon kepala sekolah akan membagikan instrument monev kepada kepala sekolah, guru senior dan siswa untuk mengetahui aspek/hal hal yang sudah bagus atau aspek yang masih perlu ditingkatkan Permen diknas no 13 tahun 2007 belakang 2. Bab iii pelaksanaan rencana tindak lanjut a. Berdasarkan peraturan menteri pendidikan dan kebudayaan nomor 6 tahun 2018 tentang pendidikan dan pelatihan (diklat) calon kepala sekolah.
Source: auditkinerja.com
Laporan rtl , laporan ojt 2 cks (calon kepala sekolah) 2021. Mulyati ojl 3 (rtk cakep bab 3) mulyati rahman. Bagi bapak/ibu yang memerlukan contoh laporan ojl pelatihan calon kepala sekolah yang diselenggarakan lp2ks, berikut ini kami sediakan file lengkapnya, dengan susunan sebagai berikut : Menulis laporan ojl calon kepala sekolah. Tujuan laporan on the job learning (ojl) tujuan laporan on the job learning (ojl) ini adalah untuk mengetahui dan dapat meningkatkan:
Source: auditkinerja.com
Pelaksanaan rtk 2 1) persiapan a) berkonsultasi dengan kepala sekolah tentang perlunya mengadakan workshop penyusunan perangkat penilaian hasil belajar. Kegiatan ini baru berjalan sekitar dua tahun sejak diterbitkannya permendiknas nomor 28 tahun 2010 tentang penugasan guru sebagai kepala sekolah/. 196705251991031006 sdn sagara 2 kecamatan cibalong kabupaten garut program penyiapan calon kepala sekolah dinas pendidikan kabupaten garut provinsi jawa barat tahun 2015 f latar 1. Matriks rtk terdiri 6 kolom, yakni 1) tujuan, 2) indikator, 3) program kegiatan, 4) skenario kegiatan, 5) sumber daya, 6) metode pengumpulan data, dan 7) refleksi. Materi dan laporan diklat calon kepala sekolah al maududy.
Source: berbagaicontoh.com
1 contoh rencana tindak lanjut pengawas 1 a identitas peserta 1 b rencana tindak lanjut action pdf document. Contoh laporan ojl 1 ; Kegiatan on the job learning ojl dilaksanakan pada 2 sekolah magang yaitu pada sekolah tempat calon kepala sekolah bertugas dan sekolah lain. Menulis laporan ojl calon kepala sekolah. Rencana tindakan kepemimpinan (rtk) diklat calon kepala sekolah nama calon kepala madrasah :
Source: nusagates.com
Materi dan laporan diklat calon kepala sekolah al maududy. Judul rtk judul rencana tindak kepemimpinan (rtk) calon kepala sekolah adalah peningkatan kemampuan guru pada pembelajaran bahasa dalam mengintegrasikan literasi pengembangan menulis melalui in house training (iht) di smp negeri 02 batu. 196705251991031006 sdn sagara 2 kecamatan cibalong kabupaten garut program penyiapan calon kepala sekolah dinas pendidikan kabupaten garut provinsi jawa barat tahun 2015 f latar 1. Meningkatkan mutu pembelajaran inovatif melalui supervisi akademik. Mulyati ojl 3 (rtk cakep bab 3) mulyati rahman.
Source: kuncisoalpdf.blogspot.com
Pelaksanaan rtk 2 1) persiapan a) berkonsultasi dengan kepala sekolah tentang perlunya mengadakan workshop penyusunan perangkat penilaian hasil belajar. Kirimkan ini lewat emailblogthis!berbagi ke twitterberbagi ke facebookbagikan ke pinterest. Contoh laporan ojl diklat cakep bab i. Permen diknas no 13 tahun 2007 belakang 2. Membuat laporan akhir ojl (on the job learning) calon kepala sekolah baik itu sd, smp, sma dan smk sederajat tidaklah mudah, dimana ini harus dilaksanakan penelitian terlebih dahulu untuk 9 aspek manajerial kepala sekolah yang nantinya akan dilaksanakan dalam keseharian jika sudah menjadi kepala sekolah.dalam artikel ini kami bagikan contoh laporan.
Source: python-belajar.github.io
908 kali format laporan ojl cakepsek. Langkah pertama yang dilakukan adalah mengetahui struktur laporan ojl secara utuh. Matriks rtk adalah sebuah rancangan tindakan kepemimpinan yang disusun secara sistematis sebagai persiapan seorang calon kepala sekolah untuk melakukan tindakan kepemimpinan. Laporan rtl , laporan ojt 2 cks (calon kepala sekolah) 2021. Contoh rtk (rencana tindak kepemimpinan) calon kepala sekolah.
Source: seputaranlaporan.blogspot.com
Calon kepala sekolah melakukan evaluasi diakhir pelaksanaan iht untuk mengetahui pencapaian indicator keberhasilan dengan kegiatan monev, calon kepala sekolah akan membagikan instrument monev kepada kepala sekolah, guru senior dan siswa untuk mengetahui aspek/hal hal yang sudah bagus atau aspek yang masih perlu ditingkatkan Contoh laporan ojl diklat cakep bab i. Pada ojt 2 dilaksanakan pada sekolah tempat tugas cks dan sekolah lain sebagai sekolah magang 2. 196705251991031006 sdn sagara 2 kecamatan cibalong kabupaten garut program penyiapan calon kepala sekolah dinas pendidikan kabupaten garut provinsi jawa barat tahun 2015 f latar 1. Konsultasi dengan kepala sekolah dilakukan baik secara face to face dengan kepala sekolah maupun diusulkan pada forum rapat dinas.
Source: auditkinerja.com
Konsultasi dengan kepala sekolah dilakukan baik secara face to face dengan kepala sekolah maupun diusulkan pada forum rapat dinas. Bagi bapak/ibu yang memerlukan contoh laporan ojl pelatihan calon kepala sekolah yang diselenggarakan lp2ks, berikut ini kami sediakan file lengkapnya, dengan susunan sebagai berikut : Hampir semua daerah kabupaten/kota pada tahun 2012 ini berkerja sama dengan lppks dan lpmp melakukan perekrutan calon kepala sekolah (cakep) yang dilanjutkan dengan kegiatan pendidikan dan latihan. 908 kali format laporan ojl cakepsek. 1 contoh rencana tindak lanjut pengawas 1 a identitas peserta 1 b rencana tindak lanjut action pdf document.
Source: scribd.com
Dalam perosesnya dibimbing oleh pengajar diklat. Laporan on the job learning diklat calon kepala sekolah. 1 contoh rencana tindak lanjut pengawas 1 a identitas peserta 1 b rencana tindak lanjut action pdf document. Seorang calon kepala sekolah yang telah melalui tahapan seleksi administrasi dan seleksi akademik selanjutnya akan mengikuti pendidikan dan latihan calon kepala sekolah yang diadakan oleh kementerian pendidikan dan kebudayaan melalui lembaga pengembangan dan pemberdayaan kepala sekolah (lppks) dalam bentuk kegiatan in service 1, on the job. Pelaksanaan rtk 2 1) persiapan a) berkonsultasi dengan kepala sekolah tentang perlunya mengadakan workshop penyusunan perangkat penilaian hasil belajar.
Source: arsipmediaedukasi.blogspot.com
Konsultasi dengan kepala sekolah dilakukan baik secara face to face dengan kepala sekolah maupun diusulkan pada forum rapat dinas. Upaya peningkatan kompetensi guru dalam pembuatan video pembelajaran berbasis bandicam melalui iht di man 2 pesisir selatan metod Oleh mamat rahmat setiawan, s.pd.sd nip. Berikut ini contoh laporan ojl cakep (calon kepala sekolah) lengkap meliputi ojl cakep 2016, contoh laporan ojl kompetensi manajerial, contoh laporan ojl bab 3, contoh laporan ojl supervisi akademik, contoh judul rtk, Kegiatan on the job learning (ojl) dilaksanakan pada 2 sekolah magang, yaitu pada sekolah tempat calon kepala sekolah.
Source: nusagates.com
Download kumpulan buku modul pegangan calon kepala sekolah. Rencana tindakan kepemimpinan (rtk) diklat calon kepala sekolah nama calon kepala madrasah : Posted on jumat, 26 oktober 2012 by unknown. Program on the job learning merupakan pembelajaran bagi calon kepala sekolah dalam melihat, menganalisis dan memberikan solusi dari permasalahan pengelolaan sekolah. Salam untuk semua bapak/ibu calon kepala sekolah semoga tetap sehat dan bersemangat dalam melaksanakan ojl dengan penuh tanggungjawab.
Source: kuncisoalpdf.blogspot.com
Kepala sekolah asal (mentor 1) dan kepala sekolah magang (mentor 2). Langkah pertama yang dilakukan adalah mengetahui struktur laporan ojl secara utuh. Membuat laporan akhir ojl (on the job learning) calon kepala sekolah baik itu sd, smp, sma dan smk sederajat tidaklah mudah, dimana ini harus dilaksanakan penelitian terlebih dahulu untuk 9 aspek manajerial kepala sekolah yang nantinya akan dilaksanakan dalam keseharian jika sudah menjadi kepala sekolah.dalam artikel ini kami bagikan contoh laporan. Contoh laporan ojl 1 ; Tujuan laporan on the job learning (ojl) tujuan laporan on the job learning (ojl) ini adalah untuk mengetahui dan dapat meningkatkan:
Source: auditkinerja.com
Hampir semua daerah kabupaten/kota pada tahun 2012 ini berkerja sama dengan lppks dan lpmp melakukan perekrutan calon kepala sekolah (cakep) yang dilanjutkan dengan kegiatan pendidikan dan latihan. Langkah pertama yang dilakukan adalah mengetahui struktur laporan ojl secara utuh. Inilah pembahasan lengkap terkait contoh laporan ojl calon kepala sekolah sd 2020. Ppt paparan rencana tindak lanjut pengawasan triani lailatunnahar academia edu. Contoh laporan rencana tindak lanjut diklat calon kepala sekolah.
Source: temukancontoh.blogspot.com
Matriks rtk adalah sebuah rancangan tindakan kepemimpinan yang disusun secara sistematis sebagai persiapan seorang calon kepala sekolah untuk melakukan tindakan kepemimpinan. Salam untuk semua bapak/ibu calon kepala sekolah semoga tetap sehat dan bersemangat dalam melaksanakan ojl dengan penuh tanggungjawab. Pada kesempatan ini kita berdiskusi tentang cara menulis laporan ojl. Pada ojt 2 dilaksanakan pada sekolah tempat tugas cks dan sekolah lain sebagai sekolah magang 2. Rencana tindak lanjut diklat calon kepala sekolah ppt download.
Source: berbagaicontoh.com
Bab iii pelaksanaan rencana tindak lanjut a. Mulyati depan rtk diklat cakep. Berdasarkan peraturan menteri pendidikan dan kebudayaan nomor 6 tahun 2018 tentang pendidikan dan pelatihan (diklat) calon kepala sekolah. Kegiatan ini baru berjalan sekitar dua tahun sejak diterbitkannya permendiknas nomor 28 tahun 2010 tentang penugasan guru sebagai kepala sekolah/. Inilah pembahasan lengkap terkait contoh laporan ojl calon kepala sekolah sd 2020.
Source: seputaranlaporan.blogspot.com
Oleh mamat rahmat setiawan, s.pd.sd nip. Contoh rencana tindak kepemimpinan calon kepala sekolah sd temukan contoh. Kegiatan on the job learning (ojl) dilaksanakan pada 2 sekolah magang, yaitu pada sekolah tempat calon kepala sekolah. Contoh rencana tindak lanjut rtl penelitian tindakan kelas ptk. Program on the job learning merupakan pembelajaran bagi calon kepala sekolah dalam melihat, menganalisis dan memberikan solusi dari permasalahan pengelolaan sekolah.
Source: berbagaicontoh.com
Upaya peningkatan kompetensi guru dalam pembuatan video pembelajaran berbasis bandicam melalui iht di man 2 pesisir selatan metod Bab iii pelaksanaan rencana tindak lanjut a. Mulyati depan rtk diklat cakep. Dalam perosesnya dibimbing oleh pengajar diklat. Calon kepala sekolah melakukan evaluasi diakhir pelaksanaan iht untuk mengetahui pencapaian indicator keberhasilan dengan kegiatan monev, calon kepala sekolah akan membagikan instrument monev kepada kepala sekolah, guru senior dan siswa untuk mengetahui aspek/hal hal yang sudah bagus atau aspek yang masih perlu ditingkatkan
Source: temukancontoh.blogspot.com
Laporan on the job learning diklat calon kepala sekolah. Berikut ini contoh laporan ojl cakep (calon kepala sekolah) lengkap meliputi ojl cakep 2016, contoh laporan ojl kompetensi manajerial, contoh laporan ojl bab 3, contoh laporan ojl supervisi akademik, contoh judul rtk, Pada ojt 2 dilaksanakan pada sekolah tempat tugas cks dan sekolah lain sebagai sekolah magang 2. Untuk pelaksanaan rencana tindak kepemimpinan rtk berdasarkan program berjalan dengan baik. Membuat laporan akhir ojl (on the job learning) calon kepala sekolah baik itu sd, smp, sma dan smk sederajat tidaklah mudah, dimana ini harus dilaksanakan penelitian terlebih dahulu untuk 9 aspek manajerial kepala sekolah yang nantinya akan dilaksanakan dalam keseharian jika sudah menjadi kepala sekolah.dalam artikel ini kami bagikan contoh laporan.
This site is an open community for users to do submittion their favorite wallpapers on the internet, all images or pictures in this website are for personal wallpaper use only, it is stricly prohibited to use this wallpaper for commercial purposes, if you are the author and find this image is shared without your permission, please kindly raise a DMCA report to Us.
If you find this site helpful, please support us by sharing this posts to your favorite social media accounts like Facebook, Instagram and so on or you can also save this blog page with the title laporan rtk calon kepala sekolah by using Ctrl + D for devices a laptop with a Windows operating system or Command + D for laptops with an Apple operating system. If you use a smartphone, you can also use the drawer menu of the browser you are using. Whether it’s a Windows, Mac, iOS or Android operating system, you will still be able to bookmark this website.



