Contoh Surat Keterangan Pensiun Dari Perusahaan Swasta. Surat dari pak pos untuk pt pos indonesia persero laman 3. Download contoh surat keterangan karyawan untuk segala keperluan format 800 x 1035 pixel. Pemberitahuan dan permohonan masa pensiun muvi. 4 contoh surat peringatan karyawan beserta kasusnya karyaone.
Contoh Surat Keterangan Pensiun Dari Perusahaan Swasta From ensiklopediilmupopuler512.blogspot.com
70% (10) 70% found this document useful (10 votes). 10+ contoh surat pernyataan pemberhentian asuransi. Ya, ada banyak perusahaan yang mempekerjakan karyawan dengan status kontrak. Bisa dikatakan hanya perusahaan dan instansi serta lembaga lah yang masih rutin menggunakan surat hingga saat ini. Contoh surat keterangan tidak mampu dari kelurahan. Bagi seorang pns yang menderita penyakit.
Hari ini kami coba untuk posting tentang surat yang berhubungan dengan pengunduran diri yakni contoh surat pengunduran diri dari perusahaan.
Mengabulkan gugatan penggugat untuk seluruhnya. Di bawah ini merupakan salah satu contoh dari surat pemberitahuan yang dikeluarkan oleh koperasi simpan pinjam dalam menindak karyawannya. Contoh surat keterangan pensiun dari perusahaan swasta. Inilah pembahasan selengkapnya mengenai contoh surat pensiun dini dari perusahaan. 70% (10) 70% found this document useful (10 votes). Pemberitahuan dan permohonan masa pensiun muvi.
Source: contohsuratindonesia.com
Namun, tak jarang seorang karyawan yang belum memasuki batas usia pensiun,. Surat keterangan pensiun usia 60. Penjelasan lengkap seputar contoh surat. Namun keterangan tertulis mengenai domisili bukan hanya ditujukan untuk orang saja namun juga untuk badan usaha. 70% (10) 70% found this document useful (10 votes).
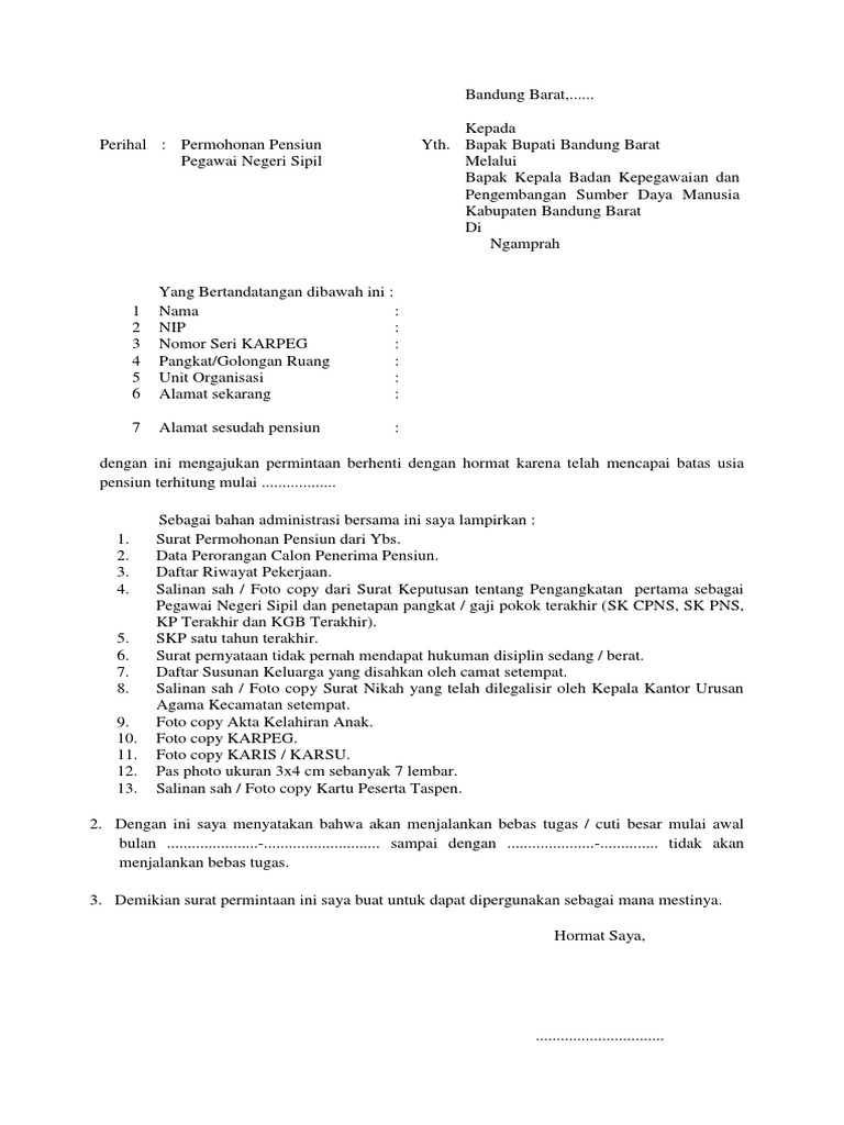
Source: ensiklopediilmupopuler512.blogspot.com
Contoh soal penghitungan pph 21 penghasilan pegawai tetap. Ada contoh surat pernyataan kesanggupan, surat pernyataan kerja, surat pernyataan menikah, surat pernyataan sikap, dan lain sebagainya. Mengabulkan gugatan penggugat untuk seluruhnya. 7 contoh surat perjanjian kerja contoh surat. Bagi seorang pns yang menderita penyakit.
Source: contoh-surat.co
Yaitu contoh surat permohonan mutasi kerja baik itu pns guru dan karyawan swasta. Bagi seorang perempuan, alasan pensiun dari perusahaan dimana ia bekerja bisa dikarenakan alesan ingin fokus keluarga. Contoh surat keterangan pensiun dari perusahaan swasta. Surat keterangan pensiun usia 60. Contoh surat keterangan pensiun karyawan swasta.
Source: ensiklopediilmupopuler512.blogspot.com
Namun ketika kontrak kerja berakhir karena faktor usia atau permohonan dari karyawan itu sendiri, di sinilah yang membedakan antara karyawan di perusahaan swasta, karyawan perusahaan bumn dan. Pengertian surat kuasa adalah fungsi ciri ciri jenis dan contohnya. Contoh surat keterangan pensiun dari perusahaan swasta. Terima kasih telah mengunjungi blog bagi contoh surat 2019. 7 contoh surat perjanjian kerja contoh surat.
Source: ensiklopediilmupopuler512.blogspot.com
Namun ketika kontrak kerja berakhir karena faktor usia atau permohonan dari karyawan itu sendiri, di sinilah yang membedakan antara karyawan di perusahaan swasta, karyawan perusahaan bumn dan. Download contoh surat keterangan karyawan untuk segala keperluan format 800 x 1035 pixel. Contoh surat pemberitahuan pensiun karyawan swasta mp3 & mp4. Ya, ada banyak perusahaan yang mempekerjakan karyawan dengan status kontrak. Masa kinerja seseorang pasti memiliki batasan waktu, apalagi jika terikat dengan sebuah instansi.
Source: kumpulancontohsuratrasmi.blogspot.com
Contoh surat pindah domisili ke luar negeri. Contoh surat keterangan pemberitahuan pensiun karyawan. Surat pernyataan karyawan orientasi format 638 x 903 pixel. Pemberitahuan dan permohonan masa pensiun muvi. 70% (10) 70% found this document useful (10 votes).
Source: kumpulan-surat.my.id
17 contoh surat keterangan biasa dinas kerja kuliah kpr. Penjelasan lengkap seputar contoh surat. Download contoh surat pemberitahuan pensiun karyawan swasta bagi. 422/477.kepeg/ix/2015 yang bertanda tangan di bawah ini : 17 contoh surat keterangan biasa dinas kerja kuliah kpr.
Source: contoh-surat.co
Dalam contoh surat keterangan pensiun 60 tahun, gawe cv telah memilihkan tema atau template yang terbaik untuk dijadikan inspirasi, ide ataupun acuan dalam penulisan surat anda. Dalam contoh surat keterangan pensiun 60 tahun, gawe cv telah memilihkan tema atau template yang terbaik untuk dijadikan inspirasi, ide ataupun acuan dalam penulisan surat anda. 422/477.kepeg/ix/2015 yang bertanda tangan di bawah ini : Jika ada sedang mencari contoh surat keterangan pensiun karyawan swasta. Yuk belajar contoh surat keterangan pensiun karyawan swasta.doc ada 17 halaman contoh surat keterangan pensiun karyawan swasta ukuran a3 1.7mb.
Source: bagikansurat.blogspot.com
Pdf contoh surat pengunduran diri surat resign ilmu. Surat keterangan kenaikan pangkat anumerta sementara yang dibuat oleh pejabat pembina kepegawaian ppk dari instansi pegawai yang bersangkutan. Here is all you have to to know about surat keterangan pensiun karyawan swasta contoh surat keterangan pensiun dari perusahaan swasta contoh seputar surat 8 contoh surat keterangan penghasilan orang tua dan gaji karyawan contoh surat pengajuan pensiun dini pns fill online printable fillable blank pdffiller surat pengajuan pensiun dini pemberitahuan dan. Yuk belajar contoh surat keterangan pensiun karyawan swasta.doc ada 17 halaman contoh surat keterangan pensiun karyawan swasta ukuran a3 1.7mb. Maka dari itu, kamu perlu contoh surat permohonan pensiun untuk dipahami.
Source: ensiklopediilmupopuler512.blogspot.com
Maka dari itu, kamu perlu contoh surat permohonan pensiun untuk dipahami. Surat pernyataan karyawan orientasi format 638 x 903 pixel. Namun ketika kontrak kerja berakhir karena faktor usia atau permohonan dari karyawan itu sendiri, di sinilah yang membedakan antara karyawan di perusahaan swasta, karyawan perusahaan bumn dan. 70% (10) 70% found this document useful (10 votes). Surat keterangan pensiun usia 60.
Source: scribd.com
Surat keterangan pensiun usia 60 contoh dari perusahaan swasta 17 rekomendasi baik benar dan yang disarankan 3 referensi kerja menarik download pengantar kepala sekolah untuk. 70% (10) 70% found this document useful (10 votes). Contoh surat keterangan pensiun dari perusahaan swasta. Penjelasan lengkap seputar contoh surat. Pensiun dini di perusahaan swasta serikat pekerja nasional.
Source: dokumen.tips
Contoh surat permohonan pensiun karena fokus keluarga. Surat dari pak pos untuk pt pos indonesia persero laman 3. Mengabulkan gugatan penggugat untuk seluruhnya. Contoh surat permohonan kenaikan gaji yang bagus gusrini rubiyanti. Pdf contoh surat pengunduran diri surat resign ilmu.
Source: contoh-surat.co
Yuk belajar contoh surat keterangan pensiun karyawan swasta.doc ada 17 halaman contoh surat keterangan pensiun karyawan swasta ukuran a3 1.7mb. 422/477.kepeg/ix/2015 yang bertanda tangan di bawah ini : Yuk belajar contoh surat keterangan pensiun karyawan swasta.doc ada 17 halaman contoh surat keterangan pensiun karyawan swasta ukuran a3 1.7mb. Surat pernyataan karyawan orientasi format 638 x 903 pixel. Contoh soal penghitungan pph 21 penghasilan pegawai tetap.
Source: kawanbelajar340.blogspot.com
15 contoh surat pengunduran diri atau resign format cara. Contoh surat keputusan pengangkatan karyawan kontrak. Pdf prosedur pembayaran program pensiun studi kasus. Pemberitahuan dan permohonan masa pensiun muvi. Namun, tak jarang seorang karyawan yang belum memasuki batas usia pensiun,.
Source: ensiklopediilmupopuler512.blogspot.com
Contoh surat keterangan meninggal dari kepala desa kumpulan surat penting cute766. Contoh surat keterangan meninggal dari kepala desa kumpulan surat penting cute766. Download contoh surat pengantar dari kepala. Namun, tak jarang seorang karyawan yang belum memasuki batas usia pensiun,. Ada contoh surat pernyataan kesanggupan, surat pernyataan kerja, surat pernyataan menikah, surat pernyataan sikap, dan lain sebagainya.
Source: koleksisuratlengkap.blogspot.com
Masa kinerja seseorang pasti memiliki batasan waktu, apalagi jika terikat dengan sebuah instansi. Pengertian surat kuasa adalah fungsi ciri ciri jenis dan contohnya. 15 contoh surat pengunduran diri atau resign format cara. 17 contoh surat keterangan biasa dinas kerja kuliah kpr. Contoh surat pindah domisili ke luar negeri.
Source: seocontoh.blogspot.com
Surat pernyataan karyawan orientasi format 638 x 903. Pensiun dini di perusahaan swasta serikat pekerja nasional begitulah informasi yang bisa kami uraikan mengenai contoh surat permohonan pensiun dini karyawan swasta. Berikut ini contoh surat yang baik dan benar serta menarik perhatian yang dapat anda gunakan dalam tema maupun format penulisan surat. Surat keterangan kenaikan pangkat anumerta sementara yang dibuat oleh pejabat pembina kepegawaian ppk dari instansi pegawai yang bersangkutan. Surat kuasa ini juga bisa dipergunakan untuk mengambil gaji pensiun yang pada umumnya harus diambil di bank tertentu yang sudah ditunjuk oleh pemerintah atau perusahaan terkait.
Source: seputaransurat.blogspot.com
Contoh slip gaji guru perusahaan swasta pembuatan slip gaji guru swasta sama dengan pembuatan slip gaji guru manapun. Surat kuasa ini juga bisa dipergunakan untuk mengambil gaji pensiun yang pada umumnya harus diambil di bank tertentu yang sudah ditunjuk oleh pemerintah atau perusahaan terkait. Download contoh surat pemberitahuan pensiun karyawan swasta bagi. Contoh surat keterangan pensiun dari perusahaan swasta. 422/477.kepeg/ix/2015 yang bertanda tangan di bawah ini :
This site is an open community for users to do submittion their favorite wallpapers on the internet, all images or pictures in this website are for personal wallpaper use only, it is stricly prohibited to use this wallpaper for commercial purposes, if you are the author and find this image is shared without your permission, please kindly raise a DMCA report to Us.
If you find this site serviceableness, please support us by sharing this posts to your own social media accounts like Facebook, Instagram and so on or you can also bookmark this blog page with the title contoh surat keterangan pensiun dari perusahaan swasta by using Ctrl + D for devices a laptop with a Windows operating system or Command + D for laptops with an Apple operating system. If you use a smartphone, you can also use the drawer menu of the browser you are using. Whether it’s a Windows, Mac, iOS or Android operating system, you will still be able to bookmark this website.




