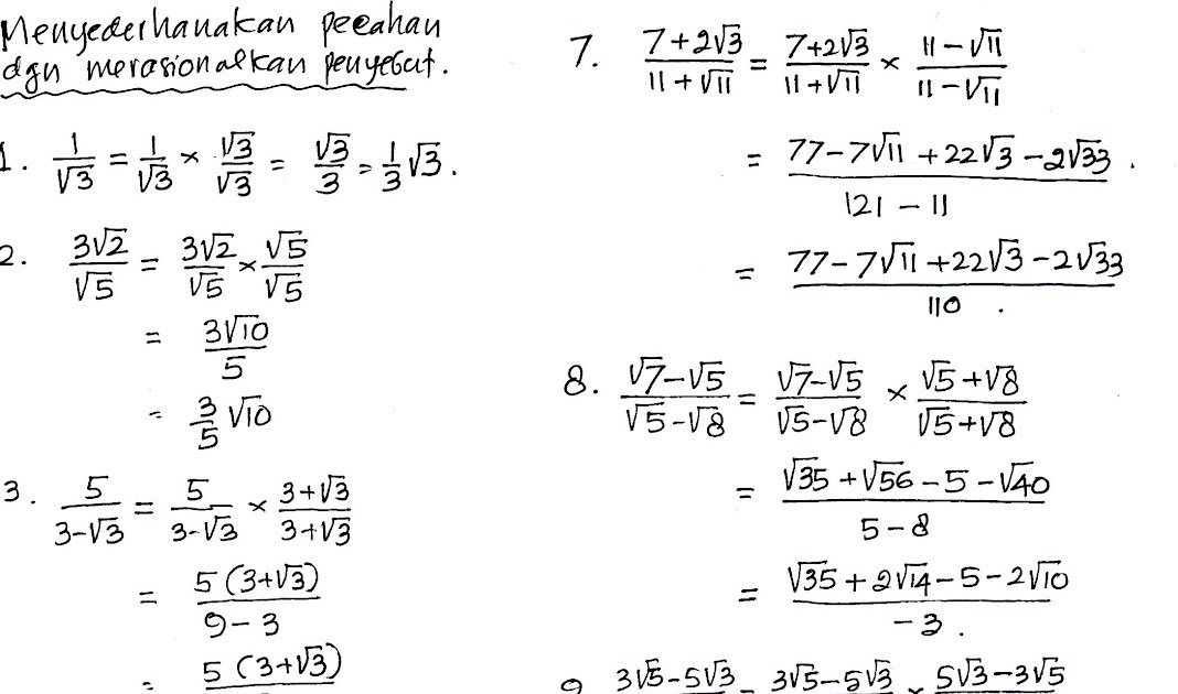
Contoh Soal Merasionalkan Penyebut. Jika anda diminta untuk menuliskan resiprok atau kebalikan dari satu set suku yang memiliki akar, anda harus merasionalkan suku itu sebelum menyederhanakannya. Tidak ada bentuk akar pada penyebut. 3√0,125 bukan merupakan bentuk akar, karena 3√0,125 = 0,5 (adalah bilangan rasional) soal 6. Merasionalkan penyebut pecahan bentuk akar beserta contoh materi.
berikan 5 contoh soal tentang merasionalkan penyebut akar From brainly.co.id
2122021 bimbingan belajar jari smart tahun ajaran 20182019 kelas 9 smp matematika k13 a. Sedangkan contoh nomor 3 dan 5 merupakan bukan contoh bentuk akar. Cara merasionalkan pecahan bentuk akar. Bentuk akar ialah operasi akar dalam sebuah bilangan yang hasilnya berupa bilangan irasional dan bukan. Contoh soal merasionalkan pecahan bentuk c/ (√a + √b) dan pembahasan. 28112020 rangkuman materi bilangan berpangkat dan bentuk akar kelas 9 smp.
Betul sekali, kita kalikan dengan bentuk akar sekawan penyebutnya.
Contoh soal bentuk akar dan jawabannya. Contoh soal merasionalkan pecahan bentuk c/ (√a + √b) dan pembahasan. Contoh soal merasionalkan penyebut dan pembahasan. Soal dan pembahasan pangkat bulat negatif dan nol; Akan tetapi, prinsip dasarnya sama, yaitu. Merasionalkan bentuk akar biasanya kita lakukan pada bentuk pecahan, karena aturan aljabar mengharuskan kita tidak menggunakan penyebut pecahan dalam bentuk akar.
Source: matematikauntukkelasx.blogspot.com
Merasionalkan penyebut sebuah pecahan bentuk akar adalah membuat rasional penyebut pecahan yang asalnya merupakan bilangan irasional. Cara merasionalkan pecahan bentuk akar. , x > 0 => bentuk sederhana. Contoh soal bentuk akar dan jawabannya. Merasionalkan penyebut pecahan b 4 akar 2 per 4 akar 2.
Source: contohsoalitu.blogspot.com
Perasionalan pecahan dengan penyebut bentuk akar tersebut hampir sama dengan cara sebelumnya. , x > 0 => bentuk sederhana. 2/ (√3 + √2) jawab: Merasionalkan penyebut pecahan b 4 akar 2 per 4 akar 2. Betul sekali, kita kalikan dengan bentuk akar sekawan penyebutnya.
Source: gurupaud.my.id
Contoh soal dan pembahasan merasionalkan bentuk akar pecahan. Berikut adalah soal soal merasionalkan penyebut pecahan bentuk akar dengan mengalikan bentuk akar pada penyebut pecahan dengan sekawannya. Merasionalkan penyebut pecahan bentuk akar. 3√0,125 bukan merupakan bentuk akar, karena 3√0,125 = 0,5 (adalah bilangan rasional) soal 6. 2122021 bimbingan belajar jari smart tahun ajaran 20182019 kelas 9 smp matematika k13 a.
Source: berbagibentuk.blogspot.com
Cara merasionalkan setiap penyebut berlainan. 3√0,125 bukan merupakan bentuk akar, karena 3√0,125 = 0,5 (adalah bilangan rasional) soal 6. Bentuk akar ialah operasi akar dalam sebuah bilangan yang hasilnya berupa bilangan irasional dan bukan. Pecahan bentuk akar juga termasuk bilangan irasional, misalnya 1/√5, 3/√7, 4/√11, dan 2/√13. Betul sekali, kita kalikan dengan bentuk akar sekawan penyebutnya.
Source: bagicontohsoal.blogspot.com
Cara merasionalkan pecahan bentuk akar. Soal dan pembahasan pangkat bulat negatif dan nol; Merasionalkan penyebut merupakan salah satu materi pelajaran matematika smp dan sma. Contoh soal dan pembahasan merasionalkan bentuk akar pecahan. Dengan p dan d adalah polinomial dan d x 0.
Source: contohsoalitu.blogspot.com
Contoh bilangan irasional adalah bentuk akar, misalnya √5, √7, √11, dan √13. Postingan ini membahas contoh soal merasionalkan penyebut yang disertai pembahasan atau penyelesaiannya. Akan tetapi, prinsip dasarnya sama, yaitu. Penyebut yang perlu dirasionalkan adalah penyebut yang berbentuk akar. 28112020 rangkuman materi bilangan berpangkat dan bentuk akar kelas 9 smp.
Source: contohsoalterbaik.blogspot.com
Bentuk akar ialah operasi akar dalam sebuah bilangan yang hasilnya berupa bilangan irasional dan bukan. Kumpulan soal merasionalkan penyebut pecahan yang berbentuk akar dengan mengalikan penyebutnya dengan sekawannya Betul sekali, kita kalikan dengan bentuk akar sekawan penyebutnya. Contoh soal merasionalkan pecahan bentuk c/ (√a + √b) dan pembahasan. Dan => bukan bentuk sederhana.
Source: berbagibentuk.blogspot.com
Contoh bilangan irasional adalah bentuk akar, misalnya √5, √7, √11, dan √13. Matematika untuk kelas x kali ini akan membahas tentang bilangan bentuk akar. Setelah kita pelajari tentang fungsi komposisi pada postingan sebelumnya kali ini materi yang akan dipelajari adalah tentang fungsi invers. 2122021 bimbingan belajar jari smart tahun ajaran 20182019 kelas 9 smp matematika k13 a. Cara merasionalkan setiap penyebut berlainan.
Source: brainly.co.id
2122021 bimbingan belajar jari smart tahun ajaran 20182019 kelas 9 smp matematika k13 a. Sebagai bentuk pembahasan metode limit fungsi aljabar diatas kita akan melakukan praktek secara langsung. Penyebut yang perlu dirasionalkan adalah penyebut yang berbentuk akar. Merasionalkan penyebut pecahan bentuk akar beserta contoh materi. Perasionalan pecahan dengan penyebut bentuk akar tersebut hampir sama dengan cara sebelumnya.
Source: sharecontohsoal.blogspot.com
Contoh soal merasionalkan penyebut pecahan bentuk akar ini dapat diselesaikan dengan cara seperti berikut ini: Pembahasan soal operasi aljabar pada bentuk akar; , x > 0 => bentuk sederhana. Contoh soal dan pembahasan merasionalkan bentuk akar pecahan. Merasionalkan penyebut pecahan bentuk akar mengenal pangkat tak sebenarnya rumus matematika
Source: detailsebutkan.blogspot.com
Pecahan bentuk akar juga termasuk bilangan irasional, misalnya 1/√5, 3/√7, 4/√11, dan 2/√13. Matematika untuk kelas x kali ini akan membahas tentang bilangan bentuk akar. Tentukan hasil dari soal limit fungsi trigonometri berikut. Dengan p dan d adalah polinomial dan d x 0. Akan tetapi, prinsip dasarnya sama, yaitu.
Source: berbagibentuk.blogspot.com
Berikut adalah soal soal merasionalkan penyebut pecahan bentuk akar dengan mengalikan bentuk akar pada penyebut pecahan dengan sekawannya. Merasionalkan penyebut pecahan b 4 akar 2 per 4 akar 2. Langsung masuk ke contoh soal aja, deh. Menyelesaikan limit dengan cara merasionalkan bentuk penyebut ini dilakukan untuk limit yang fungsinya harus dirasionalisasi terlebih dahuluperhatikan contoh berikut ini. Merasionalkan penyebut pecahan bentuk akar.
Source: seputarbentuk.blogspot.com
Jumlah dua bilangan cacah adalah 30. Saya akan memberikan penjelasan singkat mengenai bentuk akar terlebih dahulu. Berikut adalah soal soal merasionalkan penyebut pecahan bentuk akar dengan mengalikan bentuk akar pada penyebut pecahan dengan sekawannya. Akan tetapi, prinsip dasarnya sama, yaitu. Cara merasionalkan penyebut bentuk akar selanjutnya ditujukan untuk bentuk pecahan atau.
Source: maldonmodelrailway1956.blogspot.com
Metode mengalikan dengan faktor sekawan; Menyelesaikan limit dengan cara merasionalkan bentuk penyebut ini dilakukan untuk limit yang fungsinya harus dirasionalisasi terlebih dahuluperhatikan contoh berikut ini. Merasionalkan penyebut sebuah pecahan bentuk akar adalah membuat rasional penyebut pecahan yang asalnya merupakan bilangan irasional. Postingan ini diharapkan dapat membantu kalian semua agar dapat memahami tentang bilangan bentuk aka, mengoperasionalkan penghitungan bilangan bentk akar dan merasionalisasikan bilangan bentuk akar.”. 2122021 bimbingan belajar jari smart tahun ajaran 20182019 kelas 9 smp matematika k13 a.
Source: berbagibentuk.blogspot.com
Menyelesaikan limit dengan cara merasionalkan bentuk penyebut ini dilakukan untuk limit yang fungsinya harus dirasionalisasi terlebih dahuluperhatikan contoh berikut ini. 1 tidak memuat faktor yang pangkatnya lebih dari satu. Dengan menghitung langsung contoh soal limit fungsi aljabar diharapkan kalian memiliki gambaran dan persiapan ketika diberi. Jumlah dua bilangan cacah adalah 30. Contoh 9 soal limit fungsi trigonometri.
Source: gudangbelajarbaru.blogspot.com
Jika anda diminta untuk menuliskan resiprok atau kebalikan dari satu set suku yang memiliki akar, anda harus merasionalkan suku itu sebelum menyederhanakannya. Pecahan bentuk akar juga termasuk bilangan irasional, misalnya 1/√5, 3/√7, 4/√11, dan 2/√13. Setelah kita pelajari tentang fungsi komposisi pada postingan sebelumnya kali ini materi yang akan dipelajari adalah tentang fungsi invers. Sebelum membahas tentang cara merasionalkan penyebut pecahan berbentuk akar beserta contohnya. Contoh soal dan pembahasan merasionalkan bentuk akar pecahan.
Source: kuncisoal.net
Jika anda diminta untuk menuliskan resiprok atau kebalikan dari satu set suku yang memiliki akar, anda harus merasionalkan suku itu sebelum menyederhanakannya. Sebagai bentuk pembahasan metode limit fungsi aljabar diatas kita akan melakukan praktek secara langsung. Contoh soal merasionalkan penyebut pecahan bentuk akar ini dapat diselesaikan dengan cara seperti berikut ini: Merasionalkan penyebut pecahan bentuk akar mengenal pangkat tak sebenarnya rumus matematika Contoh soal integral pecahan parsial.
Source: rpp.co.id
Jika anda diminta untuk menuliskan resiprok atau kebalikan dari satu set suku yang memiliki akar, anda harus merasionalkan suku itu sebelum menyederhanakannya. Langsung masuk ke contoh soal aja, deh. Soal mengubah bentuk pangkat ke bentuk logaritma; Merasionalkan penyebut pecahan bentuk akar. Merasionalkan penyebut pecahan b 4 akar 2 per 4 akar 2.
This site is an open community for users to submit their favorite wallpapers on the internet, all images or pictures in this website are for personal wallpaper use only, it is stricly prohibited to use this wallpaper for commercial purposes, if you are the author and find this image is shared without your permission, please kindly raise a DMCA report to Us.
If you find this site value, please support us by sharing this posts to your favorite social media accounts like Facebook, Instagram and so on or you can also save this blog page with the title contoh soal merasionalkan penyebut by using Ctrl + D for devices a laptop with a Windows operating system or Command + D for laptops with an Apple operating system. If you use a smartphone, you can also use the drawer menu of the browser you are using. Whether it’s a Windows, Mac, iOS or Android operating system, you will still be able to bookmark this website.





