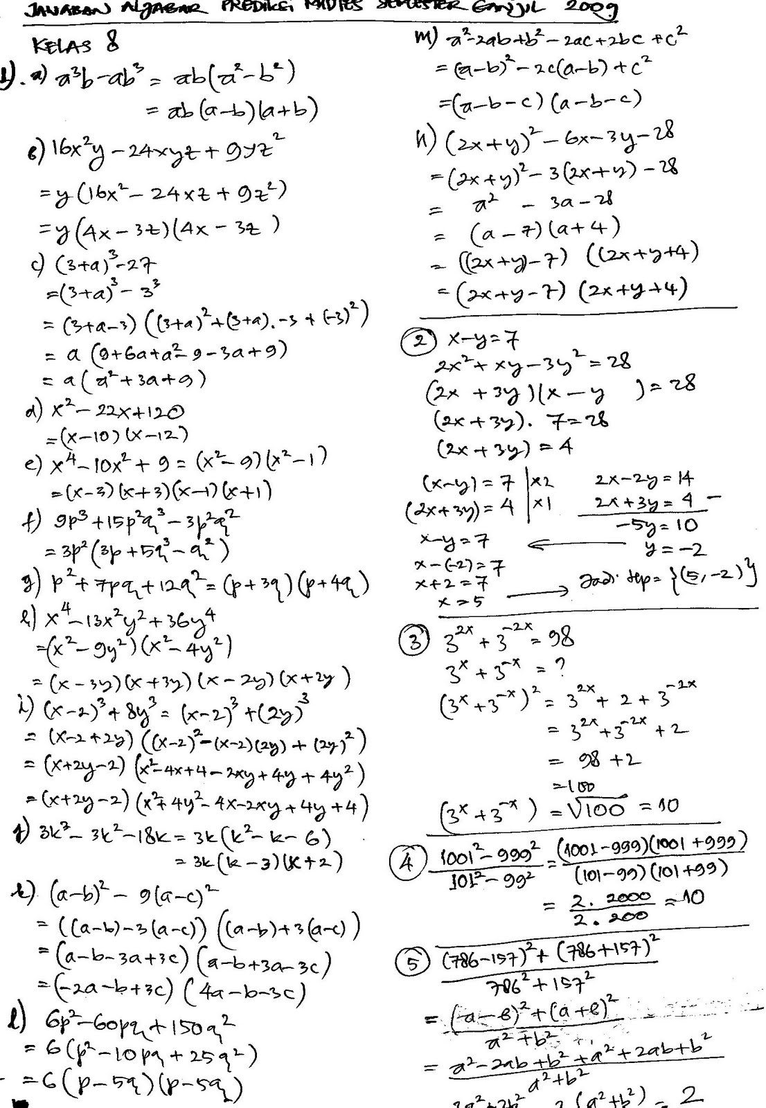
Contoh Soal Aljabar Kelas 7 Dan Kunci Jawabannya. Turunan fungsi dinotasikan f� (x), dengan rumus popular posts. Contoh soal cerita aljabar kelas 7 dan kunci jawabannya; Berikut ini adalah 4 soal uas struktur aljabar ta 20172018 yang diujikan pada tanggal 8 januari 2018 oleh dr. Ok disini saya tidak akan mengulas aljabar boolean secara menyeluruh tapi hanya poin poin nya saja.
Contoh Soal Aljabar Kelas 7 Dan Kunci Jawabannya Contoh From contohsoalitu.blogspot.com
Dibahas secara sederhana agar sehabat dapat mempelajarinya. Semoga bisa dijadikan referensi untuk belajar. Soal dinamika benda tegar no 1. Soal dan kunci jawaban aljabar kelas 7. Contoh soal beserta jawabannya tentang operasi matriks. Pembahasan rumus turunan fungsi aljabar bentuk axn.
Biaya listrik, biaya materi baku.
Ok disini saya tidak akan mengulas aljabar boolean secara menyeluruh tapi hanya poin poin nya saja. Soal dan pembahasan fisika kelas xi bab dinamika rotasi dan kesetimbangan benda tegar part 2/3 20. Contoh soal matematika kelas 7 smp tahun 2020/2021 semester 1,2 dan download kunci jawabannya/cara pembahasanya. 30+ contoh soal bentuk aljabar kelas 7 smp/mts dan jawabannya written by bachtiar rohman wednesday, august 26, 2020 add comment edit haii gaess. Soal ini dalam bentuk word dan bisa diubah menjadi soal un matematika sd 2019 pdf. Postingan kali ini tentang bentuk aljabar.
Source: id.scribd.com
Aljabar seringkali muncul dalam latihan soal matematika kelas 7. Pada kesempatan kali ini, saya akan memposting 40 soal matematika kelas 7 semester 1 dan kunci jawabannya. Contoh soal beserta jawabannya tentang operasi matriks. Biaya listrik, biaya materi baku. Kali ini bachtiarmath.com akan membahas contoh soal bentuk aljabar kelas 7 yang ada di modul matematika smp/mts kelas vii semester i karangan drs.
Source: contoh123.com
Namun jika hal itu sulit anda lakukan dalam waktu dekat ini. Contoh soal limit fungsi aljabar dan pembahasannya skuylahhu. 11+ contoh soal kesetimbangan benda tegar dan jawabannya. Contoh soal matematika aljabar kelas 7 beserta jawabannya. Dibahas secara sederhana agar sehabat dapat mempelajarinya.
Source: contohsoalitu.blogspot.com
Berikut ini contoh soal aljabar, soal matematika kelas 7 smp/ mts lengkap kunci jawaban dan pembahasan.sc fakultas keguruan dan ilmu. 47+ contoh soal turunan fungsi aljabar. However, when you turn to cheap writing services, there’s a. Ok disini saya tidak akan mengulas aljabar boolean secara menyeluruh tapi hanya poin poin nya saja. Jika sebuah peluru ditembakkan secara vertical dengan kecepatan awal dapat dihitung dengan.
Source: kumpulantugasiswa.blogspot.com
Contoh soal aljabar kelas 7 dan pembahasannya soal dan pembahasan operasi hitung pada bentuk aljabar part 6 oleh maya safitri diposting pada. 47+ contoh soal turunan fungsi aljabar. Contoh soal aljabar kelas 7 smp plus jawaban dan pembahasan. Informasi contoh soal dan pembahasan aljabar fungsi. Turunan fungsi dinotasikan f� (x), dengan rumus popular posts.
Source: kumpulankuncisiswa.blogspot.com
47+ contoh soal turunan fungsi aljabar. Rumus aljabar operasi perhitungan pengertian contoh soal. Situs tentang kumpulan soal sd, smp, sma, cpns dapat di download gratis sepenuhnya milik anda. Postingan kali ini tentang bentuk aljabar. Latihan soal matematika aljabar smp kelas 7.
 Source: callumyoucent.blogspot.com
Soal pas matematika kelas 7 semester 1. Turunan fungsi dinotasikan f� (x), dengan rumus popular posts. Latihan soal matematika aljabar smp kelas 7. Kali ini bachtiarmath.com akan membahas contoh soal bentuk aljabar kelas 7 yang ada di modul matematika smp/mts kelas vii semester i karangan drs. Soal pas matematika kelas 7 semester 1.
Source: bagicontohsoal.blogspot.com
Contoh soal matriks invers perkalian beserta pembahasannya. Contoh soal cerita aljabar dan kunci jawabannya selain perusahaan biasanya untuk masuk perguruan tinggi juga menyertakan soal psikotes atau soal untuk. X 1 2x 3 6 3x 1 4x 2 6x 3 30 x 1 2x 2 3x 3 8. Contoh soal aljabar kelas 7. Soal dan pembahasan fisika kelas xi bab dinamika rotasi dan kesetimbangan benda tegar part 2/3 20.
 Source: callumyoucent.blogspot.com
Hai adik adik, pada kesempatan kali ini kakak ingin berbagi beberapa contoh soal latihan untuk mata pelajaran matematika pembahasan aljabar bagi adik adik. Lengkap 25 contoh soal aljabar kelas 7 smp dan kunci. Latihan soal matematika aljabar smp kelas 7. Contoh soal kesetimbangan benda tegar. Soal aljabar kelas 7 smp.
Source: lebihcepat.com
Download ebook soal dan pembahasan uts aljabar linear it telkom sudah tahukah anda apa itu aljabar linear. Contoh soal cerita aljabar kelas 7 dan kunci jawabannya; Rumus aljabar operasi perhitungan pengertian contoh soal. Soal dan pembahasan fisika kelas xi bab dinamika rotasi dan kesetimbangan benda tegar part 2/3 20. Soal cerita penggunaan bentuk aljabar untuk memecahkan.
Source: kumpulankuncisiswa.blogspot.com
20++ contoh soal dan jawaban aljabar boolean. Bentuk soal yang saya berikan yaitu pilihan ganda. Sebagai contohnya, proses penjumlahan, perkalian, pengurangan serta pembagian merupakan bagian dari aljabar. Contoh soal kesetimbangan benda tegar. Dibahas secara sederhana agar sehabat dapat mempelajarinya.
 Source: yuk.mojok.my.id
Bentuk soal yang saya berikan yaitu pilihan ganda. Langkah langkah menjawab soal pengurangan dan penjumlahan aljabar dengan berbagai tipe soal yang mudah untuk. 20++ contoh soal dan jawaban aljabar boolean. Dibahas secara sederhana agar sehabat dapat mempelajarinya. Berikut ini adalah contoh soal yang dilengkapi dengan kunci jawaban tentang operasi penjumlahan dan pengurangan aljabar.
Source: contoh-surat.co
Pengertian contoh soal dan jawabannya. Biaya listrik, biaya materi baku. Pengertian contoh soal dan jawabannya. Pada kesempatan kali ini saya akan memberikan beberapa contoh soal dari fungsi (operasi terhadap fungsi). Pembahasan rumus turunan fungsi aljabar bentuk axn.
Source: jurussoalku.blogspot.com
Contoh soal fitokimia dan jawabannya. Ok disini saya tidak akan mengulas aljabar boolean secara menyeluruh tapi hanya poin poin nya saja. Biaya listrik, biaya materi baku. Contoh soal kesetimbangan benda tegar. Show all posts showing posts with label contoh soal invers matriks ordo 2×2 beserta.
Source: pelajaransekolahkitas.blogspot.com
Contoh soal aljabar kelas 7 smp plus jawaban dan pembahasan. Contoh soal mtk matriks dan jawabannya. 40 soal matematika kelas 7 semester 1 dan kunci jawabannya. Contoh soal limit fungsi aljabar dan pembahasannya skuylahhu. Rangkuman contoh soal pembahasan limit.
Source: redirect456.blogspot.com
10+ contoh soal bentuk aljabar kelas 7 terbaru. Pengertian contoh soal dan jawabannya. Sebagai contohnya, proses penjumlahan, perkalian, pengurangan serta pembagian merupakan bagian dari aljabar. Contoh soal kesetimbangan benda tegar. Selain 30 soal yang diberikan, saya juga telah mentautkan beberapa link yang gengs dapat buka.
Source: kuncisoal.net
Contoh soal aljabar kelas 7 smp plus jawaban dan pembahasan. 40 soal matematika kelas 7 semester 1 dan kunci jawabannya. Pada kesempatan kali ini, saya akan memposting 40 soal matematika kelas 7 semester 1 dan kunci jawabannya. Contoh soal beserta jawabannya tentang operasi matriks. Contoh soal fitokimia dan jawabannya.
Source: soaldankuncijawabanbuku.blogspot.com
Langkah langkah menjawab soal pengurangan dan penjumlahan aljabar dengan berbagai tipe soal yang mudah untuk. Inilah contoh soal uas aljabar linear. Soal ini dalam bentuk word dan bisa diubah menjadi soal un matematika sd 2019 pdf. Contoh soal beserta jawabannya tentang operasi matriks. Soal dan kunci jawaban aljabar kelas 7.
Source: ilmusosial.id
Dalam matematika dan ilmu komputer aljabar boolean adalah struktur aljabar yang mencakup intisari operasi logika dan atau dan tidak dan juga teori himpunan untuk operasi union interseksi dan komplemen. Contoh soal matematika aljabar kelas 7 beserta jawabannya. Contoh soal aljabar kelas 7. Sebagai contohnya, proses penjumlahan, perkalian, pengurangan serta pembagian merupakan bagian dari aljabar. Setiap soal sudah disertai dengan jawabannya.
This site is an open community for users to do sharing their favorite wallpapers on the internet, all images or pictures in this website are for personal wallpaper use only, it is stricly prohibited to use this wallpaper for commercial purposes, if you are the author and find this image is shared without your permission, please kindly raise a DMCA report to Us.
If you find this site convienient, please support us by sharing this posts to your preference social media accounts like Facebook, Instagram and so on or you can also save this blog page with the title contoh soal aljabar kelas 7 dan kunci jawabannya by using Ctrl + D for devices a laptop with a Windows operating system or Command + D for laptops with an Apple operating system. If you use a smartphone, you can also use the drawer menu of the browser you are using. Whether it’s a Windows, Mac, iOS or Android operating system, you will still be able to bookmark this website.


