Cara Merasionalkan Pecahan. Sebelum kita bahas bagaimana cara merasionalkan penyebut pecahan bentuk akar di atas perhatikan terlebih dahulu hasil kali pasangan ab dan a b a dan b bilangan rasional dan b adalah bentuk akar. Yang merupakan contoh bentuk akar yaitu nomor 1 2 dan 4. Untuk memantapkan pemahaman anda tentang cara merasionalkan bentuk a/√b, silahkan simak contoh soal 1 di bawah ini. Akan tetapi prinsip dasarnya sama, yaitu mengalikan dengan.
Cara Merasionalkan Pecahan Bentuk Akar MATEMATIKA SMP From brilliandieka.blogspot.com
Cara merasionalkan bentuk a/√b adalah dengan mengalikan pembilang dan penyebut pecahan tersebut dengan bentuk sekawan dari penyebutnya, yaitu: Cara merasionalkan pecahan bentuk akar ini pada umumnya dapat dilakukan dengan mudah. Jika pecahan dipangkatkan dengan menyederhanakan bentuk pangkat soal no 14 bentuk sederhana dari a 163 811 b 163 11 c 163. Perhatikan contoh pecahan sebagai berikut : Untuk memantapkan pemahaman anda tentang cara merasionalkan bentuk a/√b, silahkan simak contoh soal 1 di bawah ini. Nah, untuk itu kita akan membahas cara menyederhanakan berbagai bentuk pecahan di atas.
Saat ada akar dalam penyebut, anda harus mengalikan pecahan dengan suku atau serangkaian suku.
Pecahan yang bentuknya mengandung bentuk akar yang dinyatakan dalam wujud √b dan bilangan rasional seperti a. Cara merasionalkan penyebut sebenarnya cukup mudah yaitu dengan mengkali pembilang dan penyebut dengan akar yang nilainya sama pada penyebut. Contohnya adalah √ 3, √ 5, √ 6, √ 7 dan sebagainya. Kita akan membahas cara merasionalkan penyebut. Dari ketiganya terwujudlah website ini sebagai sarana berbagi pengetahuan yang dimiliki. Mungkin saja soal cara merasionalkan pecahan desimal ini akan keluar pada tahun ini.
Source: berpendidikan.com
Saat ada akar dalam penyebut, anda harus mengalikan pecahan dengan suku atau serangkaian suku. Cara merasionalkan penyebut pecahan berbentuk akar sebenarnya tidak terlalu sulit mengingat materi rasional bisa dengan mudah kita temukan pada buku panduan matematika sekolah. Untuk bentuk ini kalian kalikan dengan penyebut semula. Sebelum kita bahas bagaimana cara merasionalkan penyebut pecahan bentuk akar di atas perhatikan terlebih dahulu hasil kali pasangan ab dan a b a dan b bilangan rasional dan b adalah bentuk akar. Soal ditanyakan pada tanggal 14 agustus 2012.
Source: berbagibentuk.blogspot.com
Soal ditanyakan pada tanggal 14 agustus 2012. Cara merasionalkan bentuk a/√b adalah dengan mengalikan pembilang dan penyebut pecahan tersebut dengan bentuk sekawan dari penyebutnya, yaitu: Cara merasionalkan bentuk a/√b adalah dengan mengalikan pembilang dan penyebut pecahan tersebut dengan bentuk sekawan dari penyebutnya, yaitu: Dari ketiganya terwujudlah website ini sebagai sarana berbagi pengetahuan yang dimiliki. Seperti yang telah kita ketahui bahwa bentuk akar tergolong dalam kategori bilangan irasional.
Source: youtube.com
Untuk memantapkan pemahaman anda tentang cara merasionalkan bentuk a/√b, silahkan simak contoh soal 1 di bawah ini. Namun tidak bisa dipungkiri bahwa beberapa orang mengalami kesulitan dalam mempraktekkan rumus untuk mencari rasional penyebut pecahan bentuk akar. Adapun beberapa cara merasionalkan pecahan yang mengandung penyebut bentuk akar yaitu sebagai berikut: Cara merasionalkan penyebut sebenarnya cukup mudah yaitu dengan mengkali pembilang dan penyebut dengan akar yang nilainya sama pada penyebut. Secara tradisional, akar atau angka irasional tidak bisa dibiarkan dalam penyebut (bagian bawah) pecahan.
Source: youtube.com
Cara merasionalkan bentuk a/√b adalah dengan mengalikan pembilang dan penyebut pecahan tersebut dengan bentuk sekawan dari penyebutnya, yaitu: Jika bentuk akar tersebut menjadi penyebut pada suatu pecahan, maka dikatakan penyebut irrasional, penyebut irrasional dapat diubah menjadi bilangan rasional. Cara atau metode untuk merasionalkan penyebut pecahan yakni dengan cara mengalikan pembilang dan juga penyebut pecahan tersebut dengan bentuk akar yang sekawan dari penyebut tersebut. Mungkin saja soal cara merasionalkan pecahan desimal ini akan keluar pada tahun ini. Saat ada akar dalam penyebut, anda harus mengalikan pecahan dengan suku atau serangkaian suku.
Source: youtube.com
Secara tradisional, akar atau angka irasional tidak bisa dibiarkan dalam penyebut (bagian bawah) pecahan. Dalam artikel tentang pengertian, rumus, dan operasi hitung bentuk akar telah dijelaskan bahwa bentuk akar adalah akar dari bilangan rasional yang hasilnya adalah bilangan irasional. Contoh contoh soal lainnya oleh opan dibuat 28/11/2012 seorang guru matematika yang hobi menulis tiga bahasa, yaitu bahasa indonesia, matematika, dan php. Berikut ini bagaimana cara merasionalkan penyebut pecahan berbentuk atau. Sebenarnya bentuk soalnya yang seperti apa?
Source: gurune.net
Berikut ini bagaimana cara merasionalkan penyebut pecahan berbentuk atau. Berikut ini bagaimana cara merasionalkan penyebut pecahan berbentuk atau. Sebelum merasionalkan penyebut pecahan bentuk akar, perlu diketahui bahwa akar sekawan bentuk akar mempunyai peran di sini. Contohnya adalah √ 3, √ 5, √ 6, √ 7 dan sebagainya. Akan tetapi prinsip dasarnya sama, yaitu mengalikan dengan.
Source: akarkua.blogspot.com
Adapun beberapa cara merasionalkan pecahan yang mengandung penyebut bentuk akar yaitu sebagai berikut: Penyebut pada pecahan berupa bilangan rasional atau bilangan bulat. Untuk memantapkan pemahaman anda tentang cara merasionalkan bentuk a/√b, silahkan simak contoh soal 1. Cara merasionalkan penyebut sebenarnya cukup mudah yaitu dengan mengkali pembilang dan penyebut dengan akar yang nilainya sama pada penyebut. Materi limit fungsi aljabar, rumus, metode dan contoh soal.
Source: youtube.com
Sebelum merasionalkan penyebut pecahan bentuk akar, perlu diketahui bahwa akar sekawan bentuk akar mempunyai peran di sini. Sebenarnya bentuk soalnya yang seperti apa? Nah pada artikel ini akan membahas tentang cara merasionalkan penyebut pecahan bentuk akar. Pembahasan a 2 3 2 5 2. Soal ditanyakan pada tanggal 14 agustus 2012.
Source: gurune.net
Pada video ini anda akan mengetahui : Perhatikan contoh pecahan sebagai berikut : Untuk memantapkan pemahaman anda tentang cara merasionalkan bentuk a/√b, silahkan simak contoh soal 1 di bawah ini. Seperti yang telah kita ketahui bahwa bentuk akar tergolong dalam kategori bilangan irasional. Pada video ini anda akan mengetahui :
Source: seputarbentuk.blogspot.com
Nah pada artikel ini akan membahas tentang cara merasionalkan penyebut pecahan bentuk akar. Merasionalkan penyebut pecahan dalam bilangan bentuk akar itu berarti, mengubah penyebut dari pecahan yang berbentuk akar menjadi bentuk rasional (sederhana). Itulah yang bisa kami bagikan terkait cara merasionalkan bentuk akar kelas 10. Cara merasionalkan penyebut sebenarnya cukup mudah yaitu dengan mengkali pembilang dan penyebut dengan akar yang nilainya sama pada penyebut. Pecahan yang bentuknya mengandung bentuk akar yang dinyatakan dalam wujud √b dan bilangan rasional seperti a.
Source: youtube.com
Cara merasionalkan pecahan bentuk akar ini pada umumnya dapat dilakukan dengan mudah. Cara merasionalkan penyebut pecahan berbentuk akar sebenarnya tidak terlalu sulit mengingat materi rasional bisa dengan mudah kita temukan pada buku panduan matematika sekolah. Namun tidak bisa dipungkiri bahwa beberapa orang mengalami kesulitan dalam mempraktekkan rumus untuk mencari rasional penyebut pecahan bentuk akar. Bentuk akar memang tidak dapat dinyatakan dalam bentuk irasional karena bilangan yang digunakan berbentuk pecahan a/b, dimana b ≠ 0 dan a, b bilangan bulat a. Yang merupakan contoh bentuk akar yaitu nomor 1 2 dan 4.
Source: berpendidikan.com
Merasionalkan penyebut tidaklah susah dan tidak pula di anggap gampang. Yang merupakan contoh bentuk akar yaitu nomor 1 2 dan 4. Bentuk bentuk bilangan tersebut dapat disederhanakan dengan cara merasionalkan penyebut pecahan pecahan tersebut. Bentuk akar memang tidak dapat dinyatakan dalam bentuk irasional karena bilangan yang digunakan berbentuk pecahan a/b, dimana b ≠ 0 dan a, b bilangan bulat a. Berikut ini bagaimana cara merasionalkan penyebut pecahan berbentuk atau.
Source: youtube.com
Untuk memantapkan pemahaman anda tentang cara merasionalkan bentuk a/√b, silahkan simak contoh soal 1. Inilah pembahasan selengkapnya mengenai contoh soal dan jawaban merasionalkan penyebut pecahan bentuk akar. Pecahan biasa amp campuran, cara menghitung bilangan pecahan berpangkat matematika smp, bentuk pangkat dan akar 10 sma, perpangkatan bilangan pecahan rumushitung com, bilangan pangkat pecahan pengertian dan contoh soal, cara membandingkan mengurutkan dan. Itulah yang bisa kami bagikan terkait cara merasionalkan bentuk akar kelas 10. Pelajari cara mengubah pecahan campuran menjadi pecahan tidak biasa (improper fraction).pecahan campuran memiliki angka bulat dan pecahan.
Source: materimatematika.com
Jika pecahan dipangkatkan dengan menyederhanakan bentuk pangkat soal no 14 bentuk sederhana dari a 163 811 b 163 11 c 163. Jika bentuk akar tersebut menjadi penyebut pada suatu pecahan, maka dikatakan penyebut irrasional, penyebut irrasional dapat diubah menjadi bilangan rasional. Saat ada akar dalam penyebut, anda harus mengalikan pecahan dengan suku atau serangkaian suku. Soal ditanyakan pada tanggal 14 agustus 2012. Untuk memantapkan pemahaman anda tentang cara merasionalkan bentuk a/√b, silahkan simak contoh soal 1.
Source: brilliandieka.blogspot.com
Nah dalam merasionalkan ini ada beberapa bentuk bebeda dalam merasionalkan namun sahabat selain ada bentuk berbeda dalam merasionalkan namun ada istilah lain yaitu penarikan akar. Pada video ini anda akan mengetahui : Cara merasionalkan bentuk a/√b adalah dengan mengalikan pembilang dan penyebut pecahan tersebut dengan bentuk sekawan dari penyebutnya, yaitu: Dari ketiganya terwujudlah website ini sebagai sarana berbagi pengetahuan yang dimiliki. Antara pembilang dengan penyebut sehingga fpb dari keduanya menjadi 1.
Source: blogmipa-matematika.blogspot.com
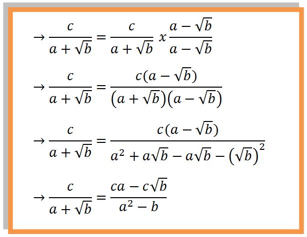
Sebelum kita bahas bagaimana cara merasionalkan penyebut pecahan bentuk akar di atas perhatikan terlebih dahulu hasil kali pasangan ab dan a b a dan b bilangan rasional dan b adalah bentuk akar. Berikut ini bagaimana cara merasionalkan penyebut pecahan berbentuk atau. Akan tetapi prinsip dasarnya sama, yaitu mengalikan dengan. Untuk pecahan bentuk cara merasionalkannya adalah dengan mengalikan pembilang dan penyebut dengan bentuk sekawan a ± √ b. Cara merasionalkan bentuk a/√b adalah dengan mengalikan pembilang dan penyebut pecahan tersebut dengan bentuk sekawan dari penyebutnya, yaitu:
Source: blogmipa-matematika.blogspot.co.id
Akan tetapi prinsip dasarnya sama, yaitu mengalikan dengan. Kita akan membahas cara merasionalkan penyebut. Pecahan yang bentuknya mengandung bentuk akar yang dinyatakan dalam wujud √b dan bilangan rasional seperti a. Adapun beberapa cara merasionalkan pecahan yang mengandung penyebut bentuk akar yaitu sebagai berikut: Seperti yang telah kita ketahui bahwa bentuk akar tergolong dalam kategori bilangan irasional.
Source: youtube.com
Untuk bentuk ini kalian kalikan dengan penyebut semula. Merasionalkan penyebut sebuah pecahan bentuk akar adalah membuat rasional penyebut pecahan yang asalnya merupakan bilangan irasional. Perhatikan contoh pecahan sebagai berikut : Merasionalkan bentuk akar biasanya kita lakukan pada bentuk pecahan, karena aturan aljabar mengharuskan kita tidak menggunakan penyebut pecahan dalam bentuk akar. Untuk pecahan bentuk cara merasionalkannya adalah dengan mengalikan pembilang dan penyebut dengan bentuk sekawan a ± √ b.
This site is an open community for users to share their favorite wallpapers on the internet, all images or pictures in this website are for personal wallpaper use only, it is stricly prohibited to use this wallpaper for commercial purposes, if you are the author and find this image is shared without your permission, please kindly raise a DMCA report to Us.
If you find this site helpful, please support us by sharing this posts to your preference social media accounts like Facebook, Instagram and so on or you can also save this blog page with the title cara merasionalkan pecahan by using Ctrl + D for devices a laptop with a Windows operating system or Command + D for laptops with an Apple operating system. If you use a smartphone, you can also use the drawer menu of the browser you are using. Whether it’s a Windows, Mac, iOS or Android operating system, you will still be able to bookmark this website.



